基于Lévay飞行的粒子群算法在大地电磁反演中的应用 |
| 张阳阳, 杜威, 王芝水, 缪旭煌, 张翔 |
|
Application of particle swarm algorithm based on Lévy flight in magnetotelluric inversion |
| ZHANG Yang-Yang, DU Wei, WANG Zhi-Shui, MIAO Xu-Huang, ZHANG Xiang |
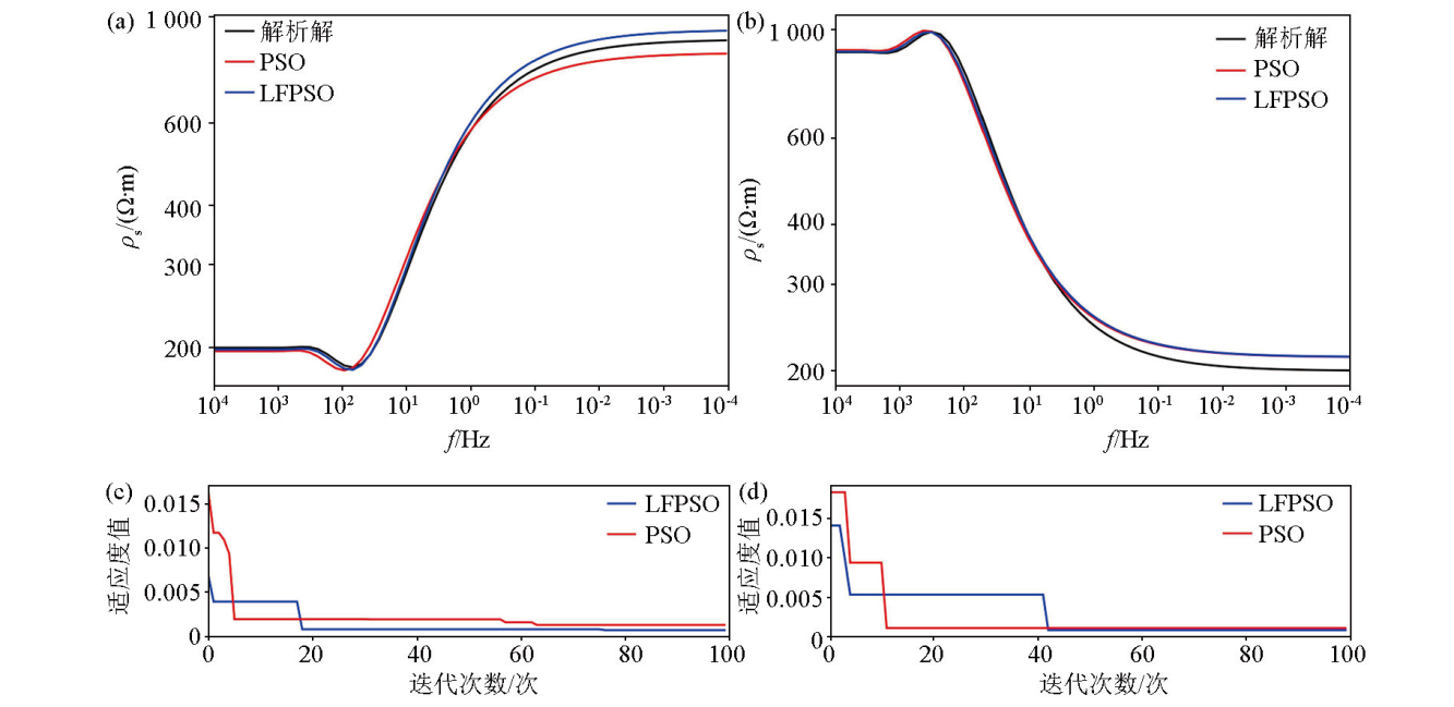
| 图5 2层地电模型PSO、LFPSO反演结果与理论值对比 a—G型曲线对比;b—D型曲线对比;c—G型曲线适应度迭代变化;d—D型曲线适应度迭代变化 |
| Fig.5 Comparison of PSO and LFPSO inversion results and theoretical values of the two-layer geoelectric model a—G-curve comparison chart;b—D-curve comparison chart;c—the fitness value of G-curve changes iterativel;d—the fitness value of D-curve changes iterativel |
|