基于Lévay飞行的粒子群算法在大地电磁反演中的应用 |
| 张阳阳, 杜威, 王芝水, 缪旭煌, 张翔 |
|
Application of particle swarm algorithm based on Lévy flight in magnetotelluric inversion |
| ZHANG Yang-Yang, DU Wei, WANG Zhi-Shui, MIAO Xu-Huang, ZHANG Xiang |
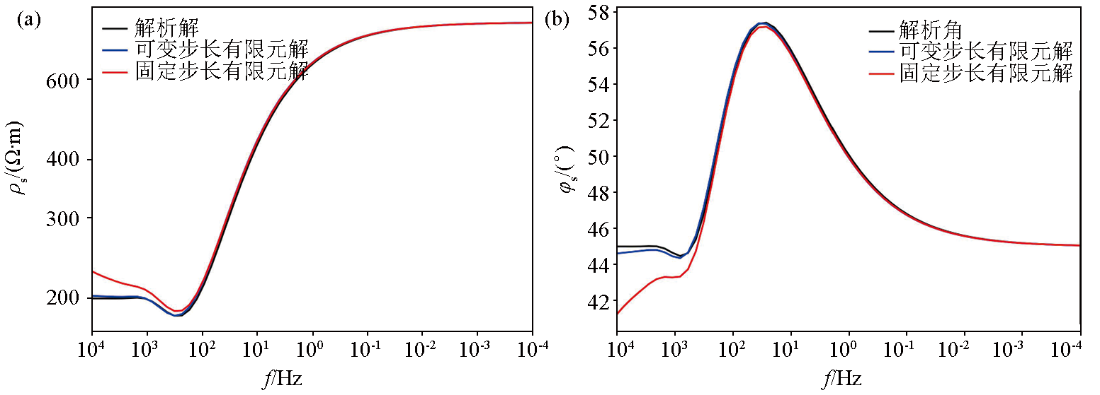
| 图4 固定步长和可变步长的有限元正演在简单地电模型(G型)中的正演结果对比 a—视电阻率结果对比;b—阻抗相位结果对比 |
| Fig.4 Comparison of forward results of finite element forward modeling with fixed step size and variable step in simple geoelectric model (G type) a—comparison of apparent resistivity;b—comparison of impedance phase |
|