构造原生晕在攻深找盲中的应用——以赣南银坑牛形坝铅锌金银矿床为例 |
| 陈伟, 谭友, 曹正端, 廖志权, 张宁发, 傅海晖 |
|
Application of tectonic primary halos in the exploration of deep concealed ore bodies: A case study of the Niuxingba plumbum-zinc-gold-silver deposit in Yinkeng, southern Jiangxi |
| CHEN Wei, TAN You, CAO Zheng-Duan, LIAO Zhi-Quan, ZHANG Ning-Fa, FU Hai-Hui |
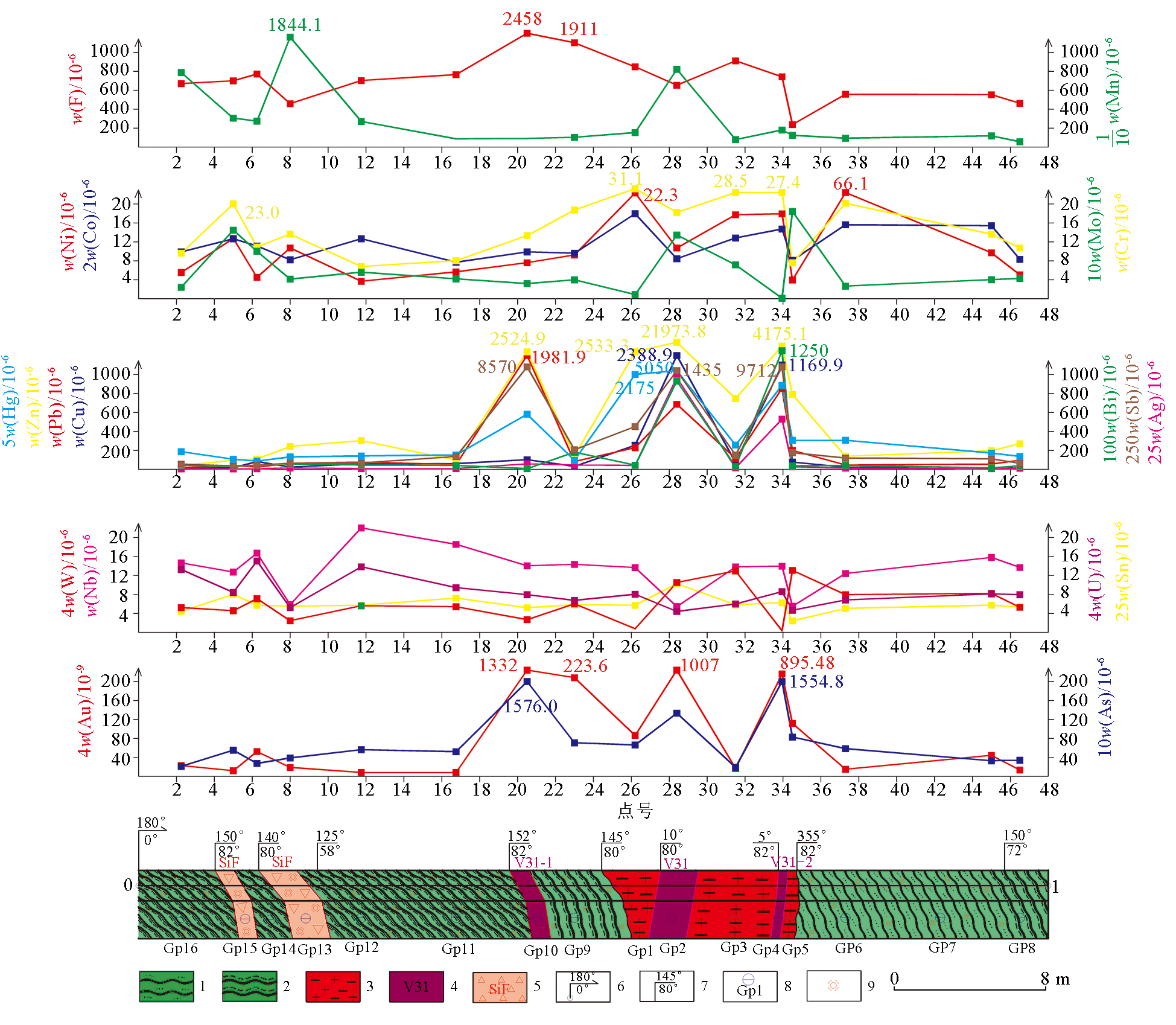
| 图5 牛形坝矿区V31号矿带(体)-20 m中段沿303号勘探线横向原生晕地质—地球化学剖面 1—粉砂质沉凝灰岩;2—凝灰质千枚岩;3—花岗闪长斑岩;4—铅锌金银矿体及编号;5—断裂破碎带;6—导线号及方位(坡角);7—产状;8—原生晕样品及编号;9—硅化 |
| Fig.5 Geological-geochemical profile of the transverse primary halo in the middle section of -20 m of V31 orebody in exploration line 303 in Niuxingba deposit 1—silty tuff;2—tuffaceous phyllite;3—granodiorite-porphyry;4—lead,zinc,gold and silver ore bodies and number;5—fracture zone;6—conductor number and bearing (slope angle);7—occurrence;8—primary halo sample and number;9—silicification |
|