基于三维有限元的航空大地电磁倾子响应特征 |
| 刘彦涛, 彭莉红, 孙栋华, 张伟盟, 王海红 |
|
Research on response characteristics of airborne magnetotelluric tipper based on three-dimensional finite element |
| LIU Yan-Tao, PENG Li-Hong, SUN Dong-Hua, ZHANG Wei-Meng, WANG Hai-Hong |
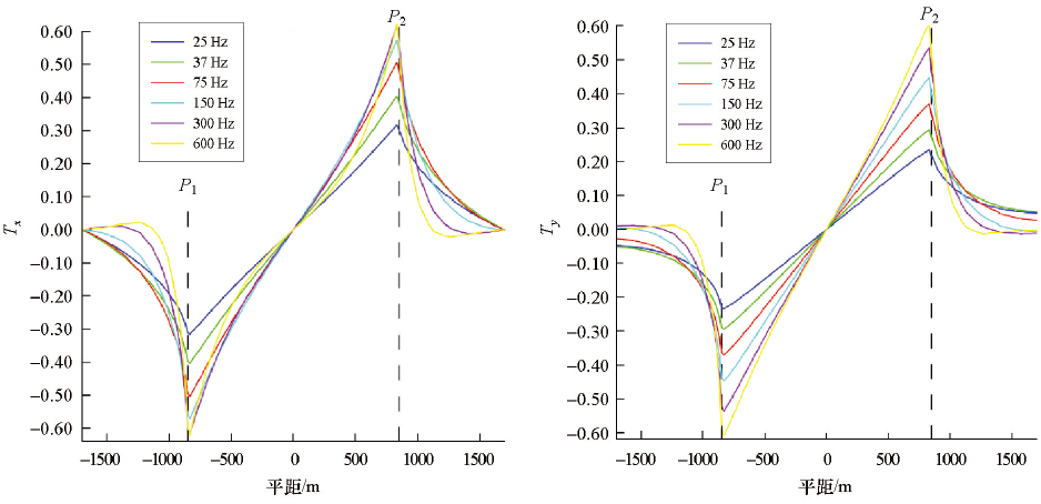
| 图12 测线b倾子高阻响应特征 |
| Fig.12 High-resistance response characteristics of tipper on survey line b |
|