基于三维有限元的航空大地电磁倾子响应特征 |
| 刘彦涛, 彭莉红, 孙栋华, 张伟盟, 王海红 |
|
Research on response characteristics of airborne magnetotelluric tipper based on three-dimensional finite element |
| LIU Yan-Tao, PENG Li-Hong, SUN Dong-Hua, ZHANG Wei-Meng, WANG Hai-Hong |
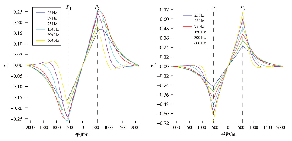
| 图11 测线a倾子高阻响应特征 |
| Fig.11 High-resistance response characteristics of tipper on survey line a |
|