地表水平正反敲击激振下孔法剪切波速测试理论依据讨论 |
| 肖妍姗, 周正华, 苏杰, 魏鑫 |
|
Discussion about the theoretical basis of the down-hole method for shear wave velocity test under surface forward and reverse horizontal hammer strikes |
| XIAO Yan-Shan, ZHOU Zheng-Hua, SU Jie, WEI Xin |
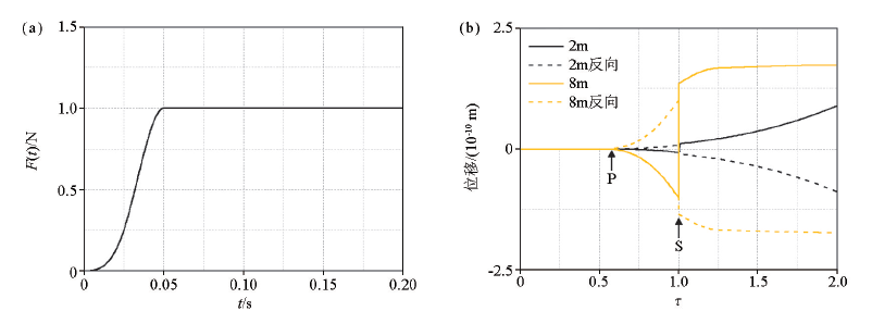
| 图4 近似Heaviside单位阶跃函数沿作用力加载点垂向下各点位移 a—近似Heaviside单位阶跃函数;b—正、反向加载下半空间内沿荷载作用点垂直向下2 m和8 m点的位移反应,泊松比为0.25 |
| Fig.4 Displacements of directly below surface tangential point source with approximate Heaviside unit function a—approximate Heaviside unit function;b—displacements at depth of 2 m and 8 m in an elastic half-space directly below surface tangential point source with the poisson's ratio of 0.25 |
|