平台式航空重力勘查系统国产化研究 |
| 罗锋, 周锡华, 胡平华, 姜作喜, 王冠鑫, 屈进红, 李行素, 李兆亮, 赵明 |
|
Research on localization of platform-based airborne gravity exploration system |
| LUO Feng, ZHOU Xi-Hua, HU Ping-Hua, JIANG Zuo-Xi, WANG Guan-Xin, QU Jin-Hong, LI Xing-Su, LI Zhao-Liang, ZHAO Ming |
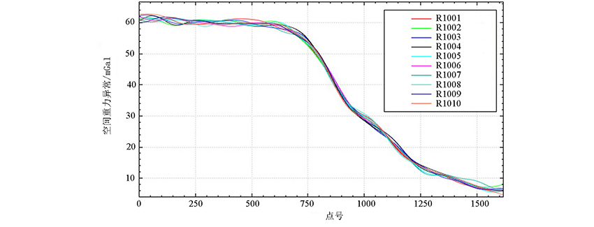
| 图9 东西向重复线航空空间重力异常重复测量对比(FIR低通滤波(100 s)) |
| Fig.9 Comparison of repeated measurement of airborne space gravity anomaly along East—West repeated line(FIR low pass filter (100 s)) |
|