致密砂岩储层脆性测井评价方法研究及应用——以鄂尔多斯盆地渭北油田为例 |
| 朱颜, 韩向义, 岳欣欣, 杨春峰, 常文鑫, 邢丽娟, 廖晶 |
|
Research and application of brittleness logging evaluation method to tight sandstone reservoirs:Exemplified by Weibei oilfield in Ordos Basin |
| ZHU Yan, HAN Xiang-Yi, YUE Xin-Xin, YANG Chun-Feng, CHANG Wen-Xin, XING Li-Juan, LIAO Jing |
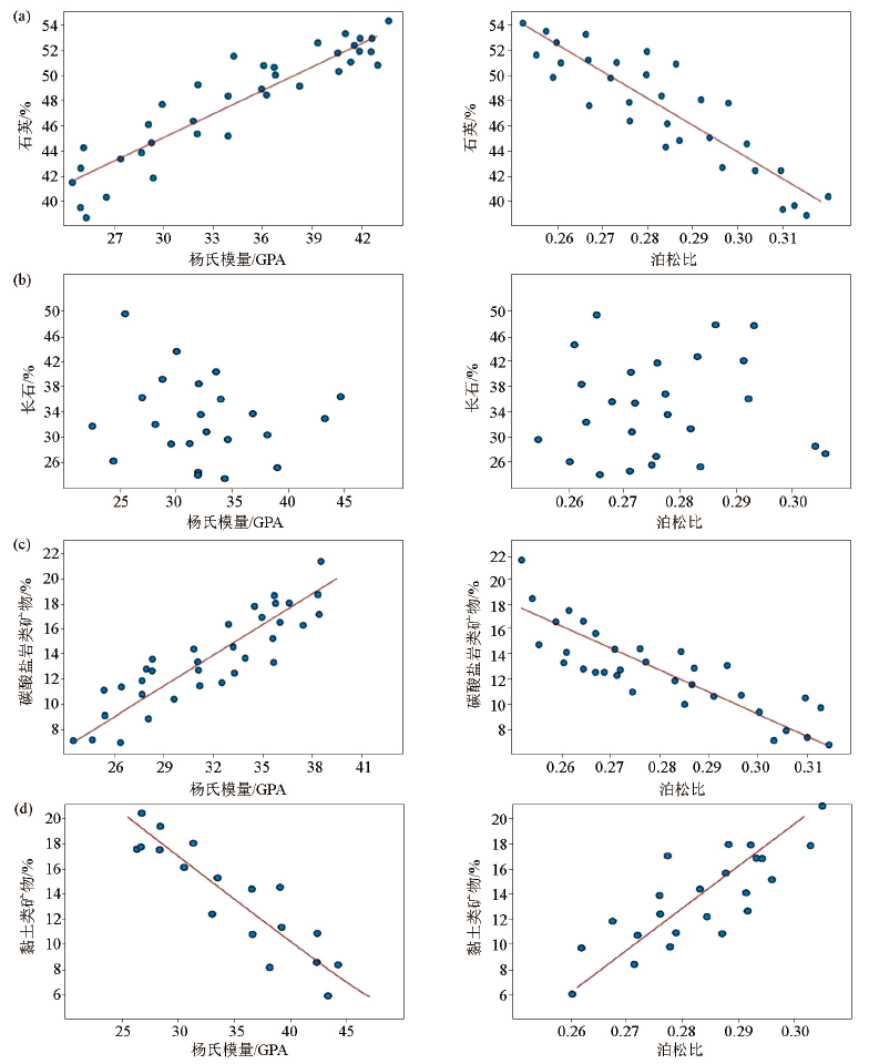
| 图6 石英、长石、碳酸盐岩类矿物和黏土类矿物与杨氏模量、泊松比交会分析 a—石英与杨氏模量、泊松比交会分析;b—长石与杨氏模量、泊松比交会分析;c—碳酸盐岩类矿物与杨氏模量、泊松比交会分析;d—黏土类矿物与杨氏模量、泊松比交会分析 |
| Fig.6 Intersection analysis of quartz,feldspar,carbonate and clay minerals with Young's modulus and Poisson's ratio a—intersection analysis of quartz with Young's modulus and Poisson's ratio;b—intersection analysis of feldspar with Young's modulus and Poisson's ratio;c—intersection analysis of carbonate with Young's modulus and Poisson's ratio;d—intersection analysis of clay minerals with Young's modulus and Poisson's ratio |
|