基于优化交错网格有限差分法的VSP逆时偏移 |
| 刘炜, 王彦春, 毕臣臣, 徐仲博 |
|
Reverse time migration of VSP data based on the optimal staggered-grid finite-difference method |
| LIU Wei, WANG Yan-Chun, BI Chen-Chen, XU Zhong-Bo |
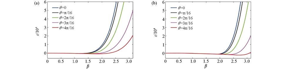
| 图2 相同差分算子长度时(M=5)交错网格有限差分法的频散误差随传播方向的变化规律 a—传统交错网格有限差分法;b—优化交错网格有限差分法 |
| Fig.2 Variations of dispersion error with different propagation angles by using different staggered-grid finite-difference methods (M=5) a—conventional staggered-grid finite-difference;b—optimal staggered-grid finite-difference |
|