基于优化交错网格有限差分法的VSP逆时偏移 |
| 刘炜, 王彦春, 毕臣臣, 徐仲博 |
|
Reverse time migration of VSP data based on the optimal staggered-grid finite-difference method |
| LIU Wei, WANG Yan-Chun, BI Chen-Chen, XU Zhong-Bo |
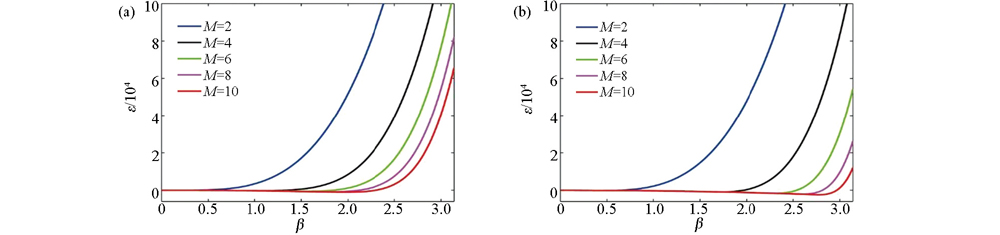
| 图1 不同差分算子长度时交错网格有限差分法的频散误差随波数的变化规律 a—传统交错网格有限差分法;b—优化交错网格有限差分法 |
| Fig.1 Variations of dispersion error with wavenumber and different operator lengths by using different staggered-grid finite-difference methods a—conventional staggered-grid finite-difference;b—optimal staggered-grid finite-difference |
|