基于TK能量的峰值频率在沉积旋回划分中的应用 |
| 贺文, 蔡加铭, 宋志华, 李海银, 张浩, 黄孔智, 管延斌 |
|
Sedimentary cycle division using peak frequency of time-frequency Teager-Kaiser energy |
| HE Wen, CAI Jia-Ming, SONG Zhi-Hua, LI Hai-Yin, ZHANG Hao, HUANG Kong-Zhi, GUAN Yan-Bin |
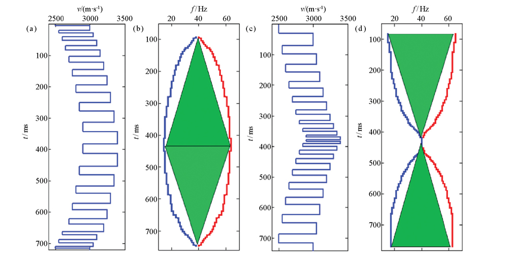
| 图5 反正旋回模型及其峰值频率镜像图、正反旋回模型及其峰值频率镜像图 a—反正旋回模型;b—模型a的峰值频率镜像图;c—正反旋回模型;d—模型c的峰值频率镜像图 |
| Fig.5 Inverse-normal cycle model and its peak frequency mirror image、normal-inverse cycle model and its peak frequency mirror image a—inverse-normal cycle model;b—peak frequency mirror image of model a;c—normal-inverse cycle model;d—peak frequency mirror image of model c |
|