综合物探方法在上杭盆地古石背地区铀矿勘查中的应用 |
| 李英宾, 谢明宏, 张占彬, 李毅, 魏滨, 张伟 |
|
The application of comprehensive geophysical method to the exploration of uranium deposits in the paleo-Shibei area of Shanghang Basin |
| LI Ying-Bin, XIE Ming-Hong, ZHANG Zhan-Bin, LI Yi, WEI Bin, ZHANG Wei |
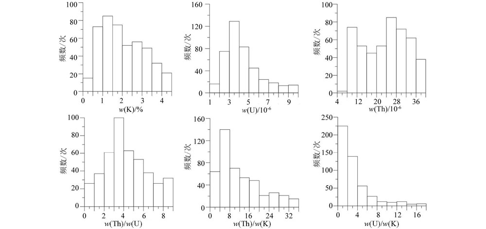
| 图2 研究区地面伽马能谱K、U、Th及其比值分布直方图 |
| Fig.2 Distribution histogram of K, U, Th and their ratio of ground gamma spectrum in the study area |
|