用于氦光泵磁力仪的数字滤波器设计 |
| 郭琦, 邓肖丹, 李学砚, 栾晓东, 李萌, 李冰, 谢民英, 范正一 |
|
Design of a digital filter for optically pumped helium magnetometers |
| GUO Qi, DENG Xiao-Dan, LI Xue-Yan, LUAN Xiao-Dong, LI Meng, LI Bing, XIE Min-Ying, FAN Zheng-Yi |
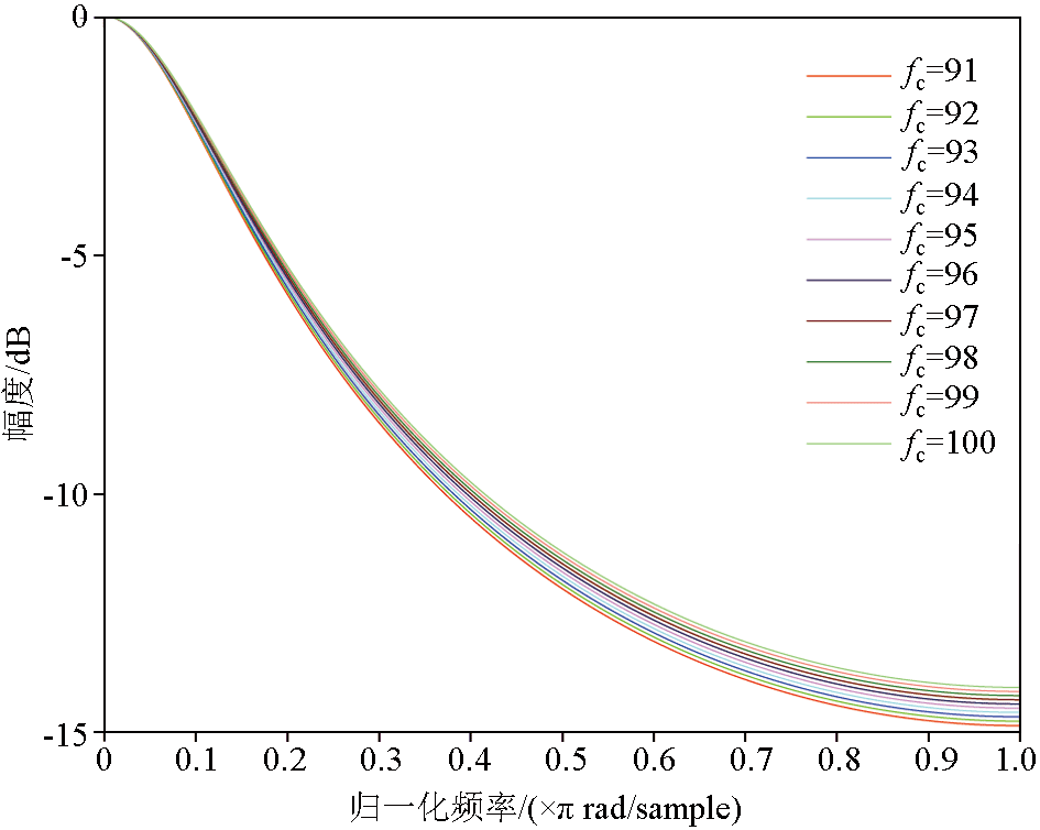
| 图11 不同fc取值对应一阶低通IIR滤波器幅频特性 |
| Fig.11 Different fc values correspond to amplitude frequency characteristics of first-order low-pass IIR filters |
|