基于方位各向异性反演的裂缝型储层预测及流体识别方法 |
| 吴怡, 周长所, 徐国贤, 袁俊亮, 宋晓麟, 曾勇坚, 王群武, 张奎 |
|
A method for fracture density prediction and fluid identification of fractured reservoirs based on azimuthal anisotropic inversion |
| WU Yi, ZHOU Chang-Suo, XU Guo-Xian, YUAN Jun-Liang, SONG Xiao-Lin, ZENG Yong-Jian, WANG Qun-Wu, ZHANG Kui |
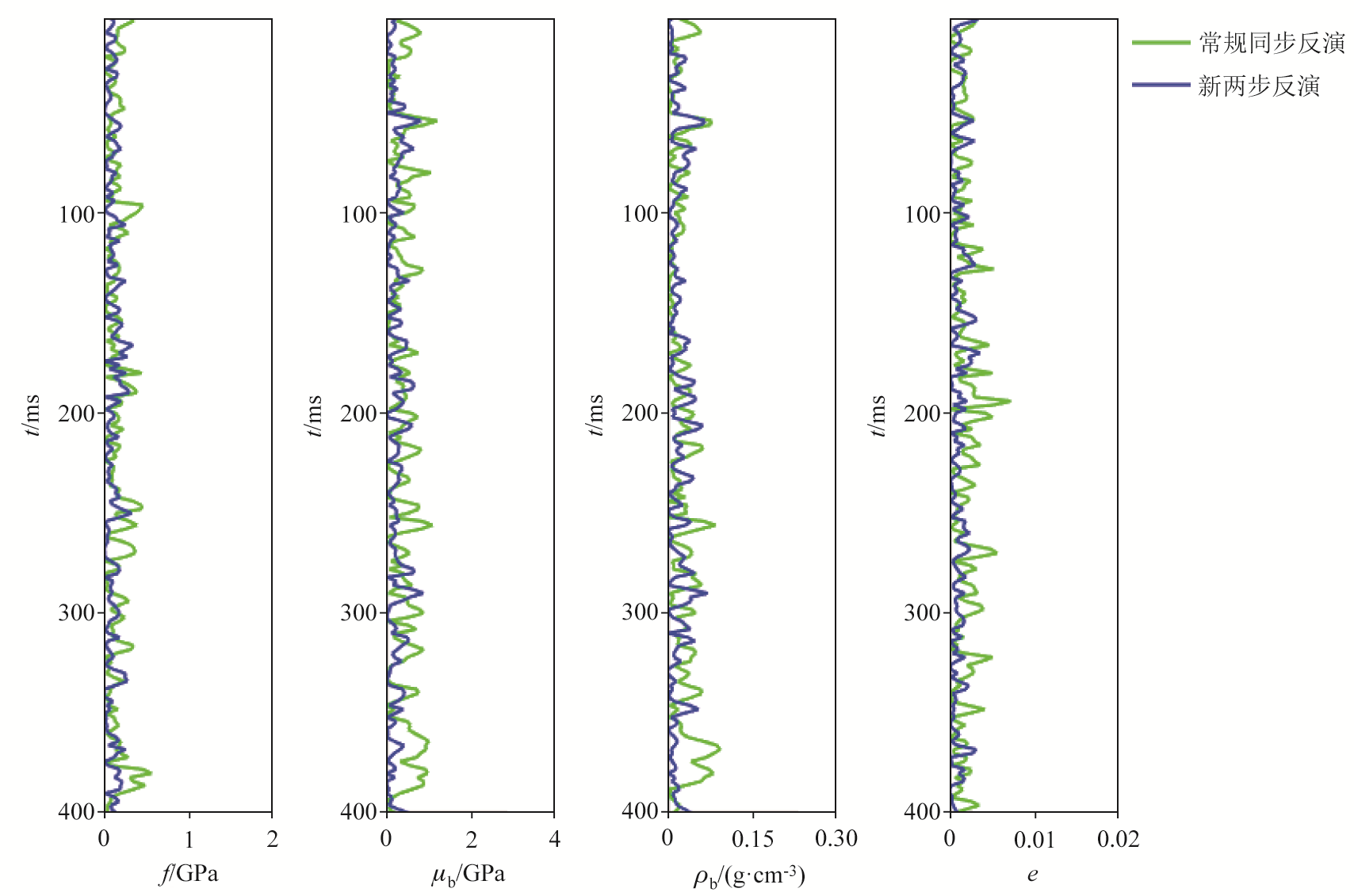
| 图11 无噪声方位各向异性反演结果与模型误差绝对值 |
| Fig.11 Absolute values of error with noise free azimuth anisotropy inversion results and models |
|