音频大地电磁测深法数据质量监控——基于EH4测量电极对数据质量影响因素分析 |
| 林家勇, 徐志敏, 周聪 |
|
Data quality monitoring of the audio-frequency magnetotelluric method: Analysis of factors influencing data quality based on EH4 measurement electrodes |
| LIN Jia-Yong, XU Zhi-Min, ZHOU Cong |
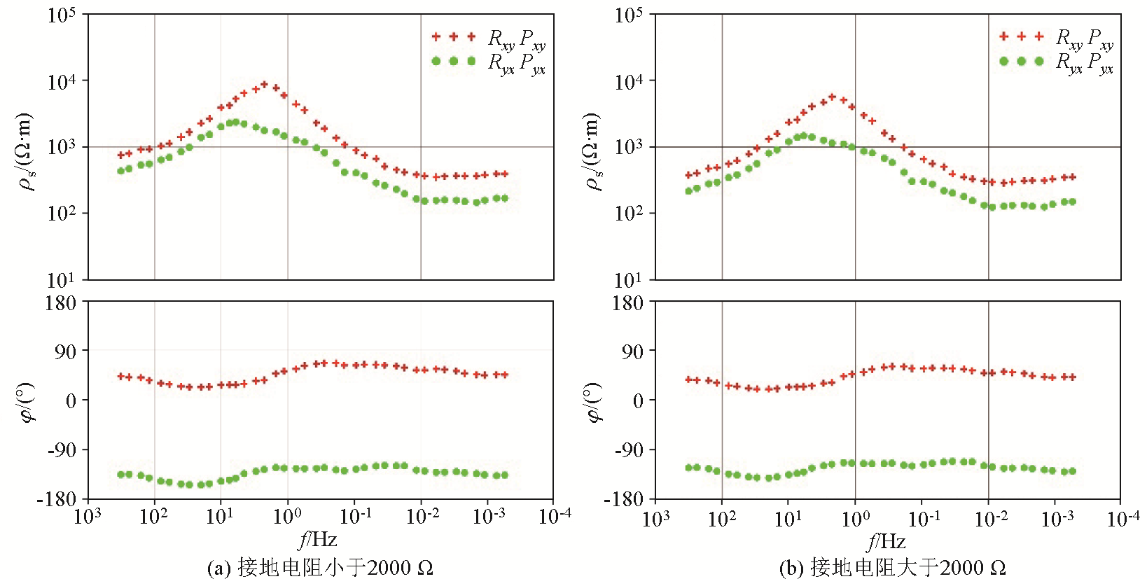
| 图9 不同接地电阻原始测量视电阻率—相位数据曲线 |
| Fig.9 Raw measured apparent resistivity-phase data for different grounding resistances |
|