不规则测线视电阻率数据的3D反演方法 |
| 郭军旗, 范本峰, 鲁恺, 王鹏, 翟好杰 |
|
A 3D inversion method for apparent resistivity data along irregular survey lines under complex terrain |
| GUO Jun-Qi, FAN Ben-Feng, LU Kai, WANG Peng, ZHAI Hao-Jie |
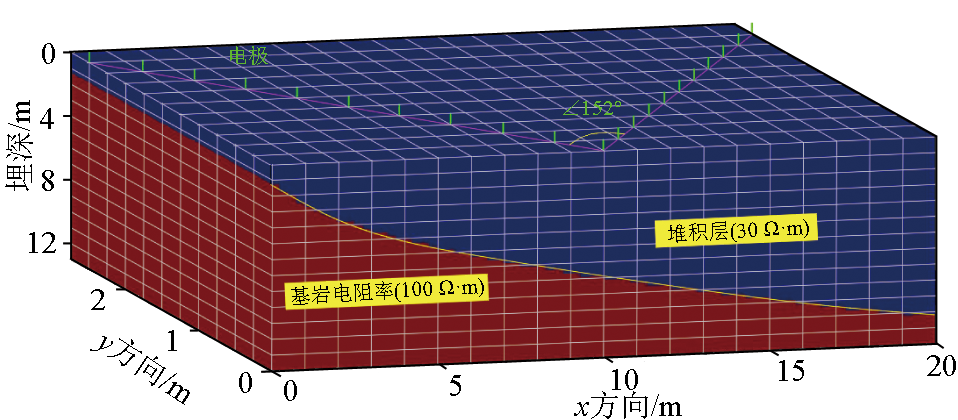
| 图2 滑坡体数值模型与不规则测线示意 |
| Fig.2 Schematic of numerical model of landslide bodies and irregular survey lines |
|