基于叠前直接反演的页岩气储层脆性及裂缝参数预测方法 |
| 石学文, 王畅, 张洞君, 冯艳雯 |
|
A method for predicting the brittleness and fracture parameters of shale gas reservoirs based on prestack direct inversion |
| SHI Xue-Wen, WANG Chang, ZHANG Dong-Jun, FENG Yan-Wen |
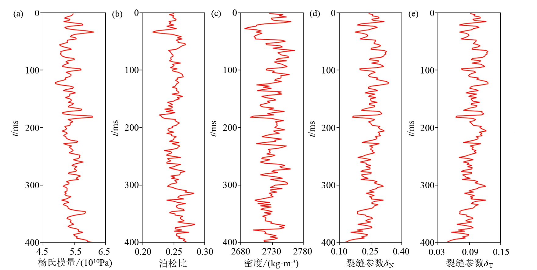
| 图3 待反演岩石物理参数模型 |
| Fig.3 The rock physical models to be inverted |
|