兴义某铀矿土壤氡气特征及其找矿应用 |
| 程俊义, 彭松, 范云飞, 卢平, 陈秀旺 |
|
Characteristics and prospecting application of soil radon in a uranium mining area, Xingyi City, China |
| CHENG Jun-Yi, PENG Song, FAN Yun-Fei, LU Ping, CHEN Xiu-Wang |
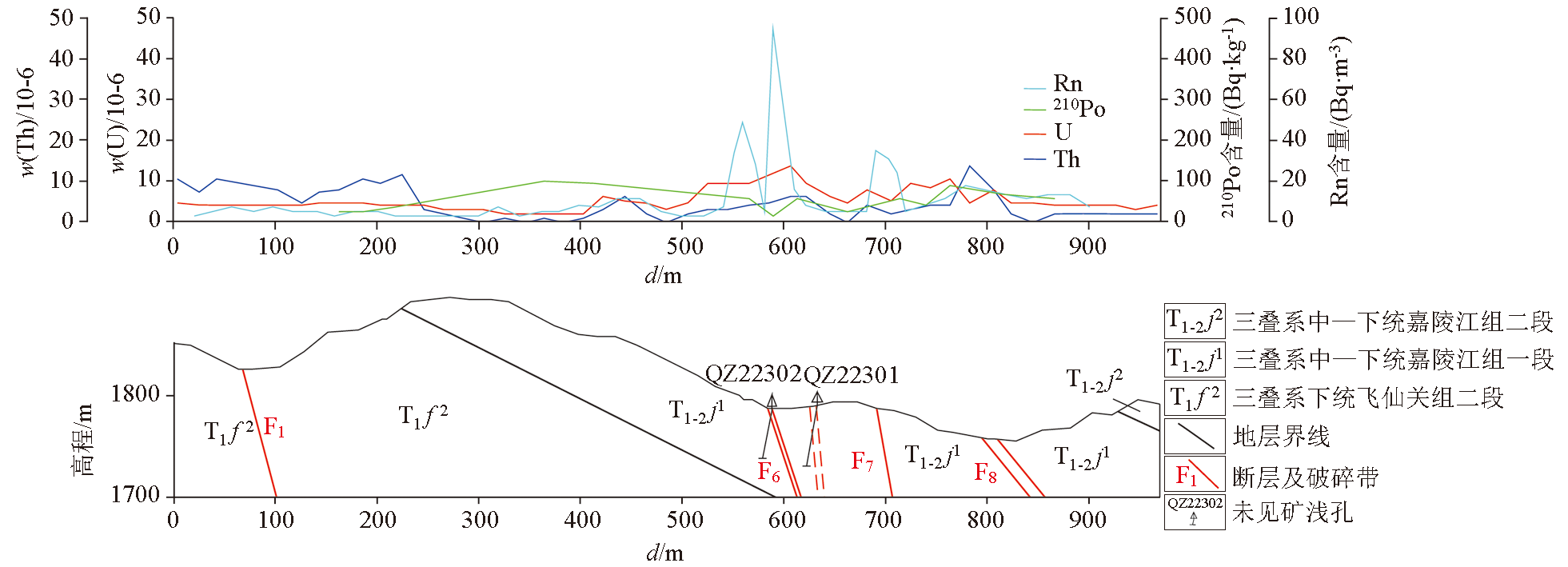
| 图7 研究区223-223'剖面土壤氡气、210Po、能谱、地质综合剖析 |
| Fig.7 Comprehensive profile of soil radon, 210Po, energy spectrum and geology in the study area at 223-223' |
|