三江平原中部耕作区水—土壤—植被耦合关系评价 |
| 何金宝, 孔繁鹏, 赵建, 刘博文, 刘洪博 |
|
Assessment of water-soil-vegetation coupling characteristics in the central farming areas of the Sanjiang Plain |
| HE Jin-Bao, KONG Fan-Peng, ZHAO Jian, LIU Bo-Wen, LIU Hong-Bo |
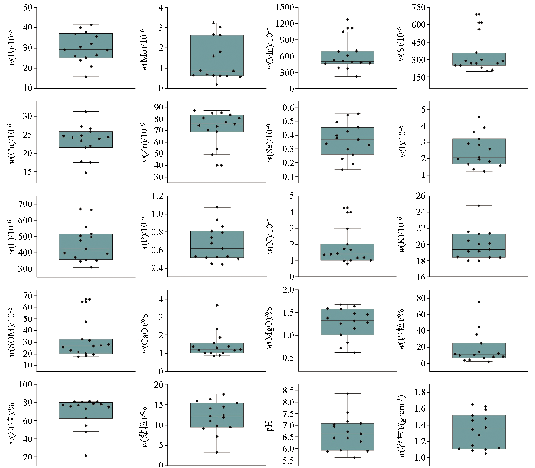
| 图3 土壤评价指标分布箱线图 |
| Fig.3 Box plot of distribution of soil evaluation indicators |
|