黑龙江省额尔古纳地块战略性矿产锑区域地球化学特征及远景区预测 |
| 万太平, 张丽, 刘汉粮 |
|
Regional geochemical characteristics and metallogenic prospect area prediction of strategic mineral antimony in the Eerguna block, Heilongjiang Province, China |
| WAN Tai-Ping, ZHANG Li, LIU Han-Liang |
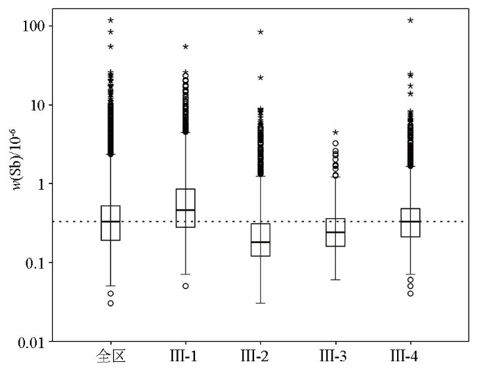
| 图3 额尔古纳地块不同构造单元内锑含量箱图 |
| Fig.3 Antimony boxplots of stream sediments collected from different tectonic belts across the Erguna massif |
|