作者简介: 蒋邦远(1931-),男,教授级高工,享受国务院政府特殊津贴,1952年南京大学物理系毕业,长期从事电磁法研究。
中心回线圴匀大地电动势响应(d B/d t)的解有三种:唯一解、双解及无解,若是层状大地,尚有“上凸”、 “下凹”的假异常现象,而磁场响应( Hz)则无此类情况,但若想直接观测 Hz则需添加设备。本文以理论为基础,从实践经验出发,设计出一套将d B/d t转换为 Hz的方案,该方法不苛求观测的最晚延时达到近带;同时,提出了求视深度的经验改正系数,以及新的高精度后沿改正法。这一套方法不仅可换算出 Hz,还能求出全区视电阻率及1-D反演数据。实例表明本方法实用有效。
The voltage response(d B/d t)is wildly used in TEM in-loop configuration; nevertheless, for layered earth,it has several defects in solution, such as unique valued, dual-valued, undefined valued and overshoot and undershoot phenomena. It is hoped that field response has not these defects. So if we want to observe field response directly,SQUID or flux-gate sensor should be added. Therefore the process of transferred d B/d t should be available. Of course it has some other difficult problems in calculation, for examples: how to get the first electromagnetic field strength and applied apparent depth formula. This paper tackles those problems and has solved them.
瞬变电磁法激发大地产生的涡流在地面上产生二次磁场, 但由于技术原因, 长期以来观测的是磁场对时间的微分, 即感应电动势响应dB/dt, 而不是磁场强度(Hz)本身。均匀半空间的dB/dt的理论解有3种:唯一解、双解及无解, 对于层状大地, 还会出现“ 上凸” (overshoot)及“ 下凹” (undershoot)现象, 以致数据处理与解释困难。此外, 两者近带响应衰减特征明显不同(Hz∝ t-3/2, dB/dt∝ t-5/2), 故而在功率— 灵敏度相同条件下, 前者的勘探深度大很多。国内外专家开展了超导探头及磁通门探头的研制, 以及将dB/dt换算为Hz的研究。在国内, 两种探头都已研制成功, 但应用尚不够广泛; 就换算Hz而言, 目前主要用在电偶源探测深部构造上。专门论述中心回线换算的论文鲜见报导, 笔者则专就此换算方法做了深入研究。
就理论而言, 将非连续观测的电动势转换为磁场, 最基本的要求是从正常场向早期延时递推。然而, 中心回线装置主要是探测导电层, 而在探测深度内往往有多个导电层, 以致最后的延时难以确保已在正常场区域, 即使研究的方法正确, 可以应用的普遍性也较低。瞬变场的频谱特性随时间而改变, 故而勘探深度有数种定义, 有多个勘深表达式, 而实用的表达式是乘以经验系数(0.441)的表达式, 据此推测, 适用于磁场勘深的表达式也必然需乘以经验系数, 而现在尚无此类公式出现。在理论指导下, 经反复思考, 通过大量模型的计算分析验证, 形成以下计算方案:“ 同值, 异时, 似深” 。此方案化解了上述难题, 其适用范围与dB/dt的适用范围一致, 即中— 近区。粗放地说, dB/dt成果合格, 则Hz的成果也相应合格。实例计算证明如此。
实测电动势是非连续的, 故由dB/dt求取Hz唯有采用递推的算法:
式中:Hz为磁场强度(A/m), ε 为电动势(mV), t为釆样延时(ms), μ 0为真空磁导率, AR为接收线圈等效面积, NT为发射回线匝数, i为取样延时道数。
式(1)为由晩延时向早延时递推的表达式。由于递推误差的原因, 若设精度应小于2%, 递推应到τ 0≤ 0.01, 即中、远区分界处。为研究需要, 还可以由远区向近区递推, 该表达式为
设实测数据达到精度要求的取样延时为tn, 如何求式(1)中的最晚的Hz, i, Levy G.M[1]提出计算延时处至少应有3个延时的数据成一直线, 延时t的参数n> 2, 实质就是要求接近正常场。此要求是合理的, 但是金属矿区若有多层矿带则此要求很难达到。
磁场强度较电动势衰减慢, 若电动势数据已属正常场, 磁场数据早已位于正常场。根据大量模型计算统计得出一重要思路:将用第n道电动势ε n求出的全区视电阻率当作由n-2道磁场强度计算出的全区视电阻率, 而后反求, 得到n-2道的磁场, 即Hz, n-2。此思路称之为“ 同值, 异时” 。据此, 对近区数据推导出式(3), 利用n道的电动势ε n即可求出Hz, n-2:
式(2)中Hz, i-1的求法与上述求法类似。设第一道延时为t1, 则先求出第三道dB/dt之ρ f, 将此ρ f当作第一道磁场强度求出之值, 再用它反求磁场强度Hz, i。
Hz的视深度与dB/dt的视深度大致相等称之为“ 似深度” 。视深度与很多参数有关, 且有很多定义, 就dB/dt的视深度而言, 有扩散深度、分辨深度、显深度等。广为应用的视深度公式是根据“ 烟圈” 理论推出并乘以经验系数0.441得出的, 但该式不适用于全区, 比如远区。 据此推测, Hz的视深度公式也会具有此种特征。用中国地质大学(武汉)孟教授所编的VCTEM1D 应用软件做了大量模型计算, 其结果较模型的深度参数偏深较大。反推其所用视深度公式, 相当于da=40
式(4)不适用于远区, 对中— 远区的深度计算也偏深。因此, 合理的工作设计应将探测目的物处于中— 近区和近区, 则式(4)可适用于大多数情况。若实测数据已在中— 远区, 则k系数调整至k≈ 0.825较为合适。
将Hohmann和Ward公式(该式中用圆形发射回线及电导率参数, 与国内习惯用法不同)[2]
改写为
式中L为发射回线边长。需特别说明, 式(5)及式(7)中, I、NT及AR在递推的Hz中已包含, 故公式中无显示。
应用式(5)的方法为众所周知的试错法(try and test), 或利用事先计算好的f(u)— u数据表查表。两种算法因无归一问题, 计算简易。对远区的Hz也可代入远区渐近式来计算视电阻率:
1.5 1-D直接快速反演
1-D反演要求数据有很高的精度。一般来说, ρ f曲线已达到圆滑, 但1-D反演往往还不够圆滑。故下述模型计算都做1-D反演, 以从严验证文中计算思路的合理性及实用性, 而不是仅计算全区视电阻率。所用公式如下:
(i) 简化“ 烟圈” 公式[3]
(ii) 经验式[4]
式(9)~(11)中的各电阻率都是指全区视电阻率, 而文中的ρ f特指由Hz计算得到的全区视电阻率。
2.1.1 均匀半空间递推Hz的基础特性
此模型的有关参数乃精心设计, 图1中的横坐标(t)也可用综合参数τ 0表示, 两者数值相同。图中还标出曲线对应的区带, 曲线特征一目了然。图中4条曲线的取样延时步长ti+1/ti为1.25。步长愈大递推数据误差愈大, 现在应用较广的仪器中步长最大为1.26, 一般为1.2; 文中选1.25系从严要求。
图中a曲线为利用式(1)求出的Hz, i-1计算出的全区视电阻率ρ f。计算从t=10 ms起向远区递推, ρ f在0.1 ms< t< 10 ms之间是一恒定的值; t> 0.1 ms后ρ f逐渐増大, 在第13取样延时(t13=0.014 6 ms), ρ f=1.017 Ω · m, 误差1.7%; 而后急速上升, 第一取样道(t1=0.001 ms), ρ f=1.29 Ω · m, 误差达29%。
b曲线为利用式(2)求出之Hz, i计算出的ρ f, 其曲线特征大致相当a曲线的二次镜像, 镜面位于ρ f=1 Ω · m的“ 横镜” 及t=0.1 ms的“ 直镜” 。t30=0.646 ms的ρ f=0.98 Ω · m, 误差2%, 与a曲线的t13道误差略同。而后曲线快速下降, 下降幅度大大超过a曲线之上升幅度。
c曲线是将Hz, i代入式(8)得出的, 其t19=0.056 ms的全区视电阻率误差为2%, 故只适用于远区。
d曲线是将Hz, i-1代入式(6) 得出的f(u)函数与延时t的关系曲钱。此曲线绘于图1是为有利于对比分析a、b曲线位于f(u)为何值处相连接为最佳。
综上所述, 公式(1)可应用于中、近区, 严格地说应是τ 0≥ 0.015; 公式(2)可用于远区、中区, 严格地说应在0.001≤ τ 0≤ 0.64范围内。如果欲计算的数据涉及全区, 则需在f(u)=0.85处将式(1)与式(2)计算之数据相连接。
2.1.2 递推Hz与dB/dt计算之ρ r特性对比
2.1.2.1 D型二层大地
设计发射回线边长L=400 m, 延时从远区算到近区, 两地层交界面靠近中区n=1处。dB/dt及Hz计算曲线绘于图2。图中n=1为dB/dt中区归一之处, 致使计算之ρ r数据不仅出现“ 上凸” 假高阻, 且使第一层的ρ r偏高, 以及反映边界的曲线下降部分偏深很多。而由Hz计算之ρ r曲线与模型较一致, 无“ 上凸” 假高阻异常, 曲线下降之转折点约在二层交界位置。另外, τ 0< 0.01的时段误差增大, ρ r逐渐偏低, 与均匀半空间的特点一致。
需要说明:图中n=1不是按磁场数值而是按电动势数值计算的, 因为Hz是由dB/dt递推而来。
2.1.2.2 G型二层大地
图3为此模型计算一例。图中除b曲线有明显的“ 下凹” 假低阻异常外, 其余曲线特征基本一致。
2.1.2.3 HKH七层大地
此七层大地模型将H、K三层大地之ρ r特性及相互影响的情况皆包括其中。图4中dB/dt计算之曲线a对应第一低阻层有典型的“ 上凸” 假高阻异常, 而第二低阻层的“ 上凸” 假高阻与第四高阻层异常相连接, 使高阻层显得很宽; 如若此为野外观测结果, 则可能产生误解。而递推Hz计算的曲线b则无此类问题, 对模型反映得清楚、明确。
b曲线亦有缺点, 异常幅度较低。利用式(10)计算出的曲线c弥补了此缺点。
2.1.3 递推Hz的应用区带
前文中已明确说明, 由近区向远区递推之Hz因精度问题, 最早只能到τ 0=0.01对应的延时。而τ 0受多个参数影响, 就实际工作而言可改变的参数仅有发射回线边长L, 故将其作为分析重点。
图5为按相似准则设计的模型。4种模型边长中, Lmin=50 m, Lmax=400 m。计算的4个模型的1-D ρ r曲线特点完全一致, 特别是ρ rmin的视深度与模型低阻带中心的误差仅为0.3%, 曲线非常圆滑。
上述特点完全可以反映在另一组符合相似准则的模型中, 可以想象, 只要发射边长选择恰当就会取得良好成果。但是欲探测的低阻目的物的视深度若浅于中— 近区, 情况将会改变。
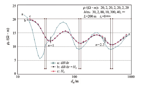
将图5中的第三个模型的发射边长改为20、400和600 m, 其计算结果见图6。为达到t1≥ 0.01 ms及τ 0(t1)≥ 0.015的要求, 图中3条曲线的起始延时不同。3种边长的视电阻率极小(ρ rmin)对应的视深度da分别为104.4、116.6、118.9 m, 而L=200 m对应的da=105.2 m(见图5)。图6上还标出了n=1及n=2.3的位置。
这些数据表明:低阻层由位于近区改为临近中区(n=1), 视深度增大, 若低阻层位于中— 远区则误差更大。因此, 当n=1对应的视深度大于ρ rmin对应的视深度时, 就可判断低阻层位于中— 远区, 而勘探深度计算不准, 其结果偏深。
图7为4种边长下用dB/dt计算的ρ r曲线, 图中d曲线(L=600 m)ρ rmin对应的视深度da=81.2 m; 图6中c曲线的da=118.9 m。而其模型值为105 m, 可见这2个结果一浅一深, 精度都较差。
根据瞬变场的波谱特性及在大地中的传播特性可知, 只用一个勘深公式求取全区的视深度是不适当的。常用的da=28.08
2.1.4 递推起点tn的影响
前已述及, Levy G. M对递推起点的要求n≥ 2 是合理的, 但适用性较差, 因而可认为认识不全面。举例分析如下。
2.1.4.1 H型三层大地
此模型低阻层位于中— 近区, 用4个不同的tn
递推Hz计算ρ r曲线(图8)。由图中曲线特征归纳出tn不同对递推算法之曲线有如下特征:
1)如以tn最长的d曲线为“ 标准” , 其余3条曲线的尾端都偏离了“ 标准” 位置, 但b、c、d曲线tn相应之n都大于2。
2)偏离程度与tn值没有直接联系。a曲线tn值最小但偏离最小; 不论偏离情况如何, 低阻层异常反映相同。a曲线tn=0.142 ms, n=1.64, 此tn值比实际工作釆用值小太多, n值也小于2。
2.1.4.2 HHH七层大地
此模型有3个低阻层, 第一层位于中— 远区, 第二层位于中区, 第三层位于近区。选4种起始延时tn, 计算结果如图9所示。此组曲线中, a、b曲线相似度最高; c曲线尾部偏差较大; 而d曲线局部与a曲线基本重合, 但首部则偏高, 不过它的tn=0.15 ms, 这完全是为研究分析而算, 实际工作中不可能釆用, 再者其n=1.23, 小于2。
2.1.5 递推Hz与直接计算的Hz计算ρ r对比
直接计算的Hz是用孟教授所编程序计算得出, 但该程序的反演方法与本文所用不同。必须说明, 为对比条件一致, 图10中a、 b曲线都是用式(9)与式(5)计算。
图中b、c曲线特征基本一致, 仅3处有较明显差别:c曲线第一延时的ρ r≈ 20 Ω · m, 但从曲线斜率判断其更早延时之ρ r将大于20 Ω · m, 而b曲线ρ r< 20 Ω · m已趋于正常场; c曲线tn之ρ r大于b曲
线tn之ρ r, 但差值不大; 在n=2.3(中区与近区分界线, 相当τ 0=1)附近, b、c曲线相差明显, 但两者都圆滑。总之, 仅此3点有差异但不大, 且基本特征一致, 完全可以认为本文递推之Hz是合格的、适用的。
b、c曲线与a曲线对比, 最突出的差别是前者幅度低。由b、c曲线幅度基本一致可知这并非递推问题, 而是dB/dt与Hz的特性不同所致。
斜阶跃波dB/dt响应的改正法主要分为两大类:幅度改正法, 比如Fitterman法; 延时改正法(以往称为坐标移动法)。限于篇幅本文只讨论后者。
延时改正法计有tk、th和ta三种。前两种改正不足, 后一个改正过渡[6]。
本文借鉴文献[5]的方法提出一项新的改正法— — 等效延时改正法。
2.2.1 等效延时改正法
2.2.1.1 全区视电阻线ρ f计算
设递推Hz未做过延时改正。将斜阶跃波时段tr分为M个阶跃波单元, 公式(6)、(7)改写为

以上3式中:M为后沿tr分割单元总数, mx为M单元中某一分割单元。
在文献[5]中, mx对应的延时是从分割单元的起始边算起, 本文则从分割单元的中间算起, 这样计时分割总数M较少, 精度已能满足要求。2种计时特点示于图11。图中a曲线ρ f的误差在M=1时为37.1%、M=60为2.2%; b曲线的误差在M=1为2.6%, M=11误差低到0.06%。以下图件中的计算曲线皆取M=11。
2.2.1.2 等效延线te计算
上述求ρ f的方法中各分割单元mx距某计算延时道的时间不同, 显然所求得的ρ f已不是对应原计算道的延时, 而是对应式(13)中隐函数“ t” 的延时。
将求得的ρ f代入式(5)和式(7), 设后沿tr=0, 改变t值以改变Hz, 逐渐逼近该延时递推的Hz。当逼近达到预定的精度时, 该时刻输入的“ t” 即相当隐函数“ t” , 本文称之为等效延时“ te” 。
此延时改正法的最大特点是先求ρ f后求te, 而以前的延时改正法是先改正延时后求ρ f。若延时改正不当则计算出的ρ f也不当, 而与这两个参数有关的1-D反反演值ρ r就会更差。
2.2.2 延时改正法效果对比
以往的3种延时改正法中, 原作者认为最好的是th(双曲线法)[3], 故仅以它与te法作效果对比。所选H模型中的低阻层位于中— 近区, 这应是工作中的正常选择。由结果可见:te改正的d曲线与tr=0的a曲线重合最好, th改正的c曲线则改正不足(图12A); 改正不足使Hz偏小, 从而对应延时的ρ f偏高(图12B); ρ r则急剧下降畸变, 而te改正的b曲线与a曲线(tr=0)重合很好(图12C)。事物一分为二, 重合很好但是失去了早延时的信息。前已叙及, 式(11)为近似式, 它并未将斜阶跃波响应完全改为阶跃波响应, 故在早延时还有第一地层的一些信息, 为此计算绘制了曲线d。d曲线计算用的ρ f与图12B中b曲线是同一值, 但延时t未改正。就d曲线特征而言它有参考意义, 为叙述方便称它为定性改正。
2.2.3 第一延时道(t1)的选择
斜阶跃波与野外实际工作有关, 早延时数据受干扰很多, 比如地形起伏、电网的磁场干扰等, 故公式(2)不宜采用。以下讨论仅与公式(1)有关。
1) 前文已说明, 根据递推Hz的精度需要, t1道的综合参数τ 0≥ 0.015, 因此反推第一道为:
式中:t1为第一取样延时道(ms); L为发射回线边长(m); ρ 1为第一层视电阻率, 可由dB/dt数据求得, 或由其他物探数据综合得出。
2)与t1选择有关的参数还有接收探头本身的延时tc(coil delay)。若所用仪器末提供此数据时可釆用
计算。该式根据文献[3]中有关公式简化得出, 式中:tc单位为ms, f为线圈谐振频率, 单位kHz。
3)试算分析。假设一个比较极端的情况:ρ 1=9 Ω · m, L=300 m, 则t1=0.06 ms; 对于tc自然愈小愈好, 若tc< t1, 则第一延时即为t1, 反之若tc> t1, 则第一延时选择tc。以实用仪器为例。SIROTEM的线圈探头的谐振频率f=22 kHz, 相应tc=0.054 ms; PEM系统的f=10 kHz, tc=0.08 ms。正如上述情况, 前者第一延时选 0.06 ms, 后者选0.08 ms。
精选3个实测成果与本文算法结果进行比较, 意在说明算法的实用效果, 而不是地质效果, 故地质情况叙述很少。
3.1.1 磁通门探头正常场资料
FG-SM-24磁通门探头在国外釆用较多, 目前已引进国内。某单位引进后在无矿地区试用, 图13为试用成果与本文算法结果之对比。
图中a、c为ρ f曲线, a为dB/dt数据计算, c为磁通门所测Bz数据计算, 两者都是由试用者计算; b曲线为dB/dt递推Hz计算之ρ f曲线。由3种曲线的ρ f与te计算出d、e、f这3条ρ r 1-D反演曲线。ρ f 3条曲线中b曲线位于a、c曲线之间, 虽然3条曲线特征基本一致, 但b曲线最圆滑。
3条ρ f曲线的特征总体一致, 但d和f曲线误差太大, 唯有e曲线仍很圆滑。
3.1.2 高温超导SQUID磁强计导电异常资料
通榆山铜矿是20世纪90年代根据TEM异常布置钻孔验证发现的, ZK9301孔见矿七层, 第一层深约82 m, 最深一层约252 m, 总厚19.5 m。此后该地成为物探试验方法效果地区之一。
图14为2012年实测资料, 用Crone PEM系统观测接收线圈之信号dB/dt, 用SQUID磁强计观测信号Bz。曲线a、b为原观测者计算, c、d曲线为笔者计算。由图可见:SQUID的功率灵敏度最强, 故视深度最大; 4条1-D反演曲线的低阻异常特征一致, 但d曲线最圆滑。
3.1.3 线圈探头高阻异常资料
图15为2007年在内蒙古查干淖尔苏木用IGGETEM系统观测的资料。图中dB/dt数据的1-D反演ρ r曲线a为观测者计算, 其余为笔者用本文方法计算。b曲线的数据经等效延时te改正, c曲线则是经t0“ 定性改正” , d曲线是用公式(10)计算的1-D反演ρ e。由Hz计算的ρ r异常幅度都低于dB/dt计算的ρ r异常幅度, 利用经验反演公式(10)计算的d曲线异常幅度较强, 接近a曲线。
所选3个实例中, 2台系国外知名的GDP-14和CRONE PEM系统观测, 另一台为应用较广的国产IGGETEM系统观测, 探头也涉及3种, 地质— 地球物理特性也涉及3种, 可谓实例不多, 代表性甚广。
这些数据计算的曲线特征基本一致, 但递推Hz计算之曲线最圆滑, 因为递推的过程具有滤波偶然误差的作用。这是优点又有不足之处, 它会使弱响应不明显甚至消失。图15中, da≈ 500 m处a曲线高阻线段变圆滑而消失, 原因可能在此。
Hz计算之ρ r异常幅度普遍较dB/dt计算的低, 这不是递推的结果, 而是Hz与dB/dt衰减特性的必然情况。为弥补此不足, 釆用了经验反演式(公式10), 实例证明有效。
1) 本算法以理论为基础, 结合实际经验, 应用独特思路, 解决了以往递推Hz的难点以及dB/dt响应计算全区视电阻率的固有问题, 提出了适用的视深度经验改正法及等效延时改正法, 大量模型计算及实例证明这是一套有效、实用的方法。
2) 本方法适用的区带与应用电动势响应相同, 即中区及近区。Hz由dB/dt递推得出, 故只要dB/dt工作设计正确、数据可靠, 则Hz数据也同样可靠。
3) 本算法亦有弱项。1-D反演ρ r值偏低, 外加递推Hz具有滤波性质, 低幅度的异常可能被忽视。
4) 本算法建立在dB/dt数据上且有弱项, 故建议本算法与求解dB/dt的算法并用, 提高解释水平, 而不是要取代它。
感谢:本文在研究编写过程中得到张杰、王兴春两位高级工程师的帮助, 提供了资料、观点和建议, 在此表示感谢。
The authors have declared that no competing interests exist.
| [1] |
|
| [2] |
|
| [3] |
|
| [4] |
|
| [5] |
|
| [6] |
|
| [7] |
|
| [8] |
|
