作者简介: 杜炳锐(1984-),男,出生于黑龙江省大庆市,硕士,工程师,主要从事电磁方法技术及应用研究工作。Email:dubingrui@igge.cn
探地雷达是探测水合物的一项有效技术手段。通过模拟试验研究实验室水合物电磁特性与水合物饱和度等因素的关系,对陆域冻土区水合物勘探及储量估算具有重要的意义。通过实验室制样获得以均匀天然石英砂颗粒为骨架的含四氢呋喃水合物土样并对其介电常数进行研究,发现在1.5G高频雷达测试下,纯冰模型与四氢呋喃水合物具有明显的电磁特性差异;当四氢呋喃水合物模型饱和度大于35%时,水合物模型介电常数随水合物体积增大而增大,雷达波在模型中传播速度逐渐减小;四氢呋喃水合物在10 ℃室温及常压下可以保持近1 h的模型稳定性,当模型孔隙中水合物和液态四氢呋喃共存时,合成试样的四氢呋喃体积分数越大,孔隙中液态四氢呋喃越多,水合物模型的介电常数也随之增大。
Ground penetrating radar is an effective technology for detecting hydrates. Simulation test and study of the relationship between electromagnetic characteristics and gas hydrate saturation as well as other factors show that ground penetrating radar has great significance for permafrost hydrate exploration and reserve estimation in terrestrial area. Through production of samples by the laboratory the authors obtained a uniform natural quartz sand particle as a skeleton containing tetrahydrofuran hydrate and studied its dielectric constant. After the 1.5G high-frequency radar testing, it was found that the electromagnetic characteristics have obvious difference between the pure hydrate model and the THF hydrate model. When the saturation of the model of tetrahydrofuran hydrate is higher than 35%, the volume of hydrate increases, the dielectric constant of hydrate model increases too, and the radar speed decreases in the model. The THF hydrate does keep stability in nearly one hour at 10 ℃ room temperature and atmospheric pressure; when the hydrate and liquid tetrahydrofuran coexist in the pore of the model, the more the volume fraction of THF and the more liquid THF in the pore, the greater the dielectric constant of hydrate model is.
20 世纪80 年代以来, 国际天然气水合物研究进展迅速, 其中绝大多数的研究成果来自海底水合物的调查研究, 永久冻土带水合物的研究次之。我国开展天然气水合物研究起步晚, 但取得了显著成效, 分别于2007 年5 月在南海北部陆坡神狐海域和2008 年11 月在青海祁连山木里地区成功采集到天然气水合物的实物样品。近年来, 中国陆域冻土区天然气水合物的调查、研究、开发力度不断加大, 针对陆域冻土区天然气水合物在基础理论研究, 实验模拟研究, 定性、定量研究以及钻采工艺的研究等多方面取得了较大突破。
我国陆域水合物远景区主要位于青藏高原中生代盆地群内, 不同于极地冻土水合物和海域水合物的赋存环境。目前在木里地区发现的水合物主要赋存在中生界砂岩、泥岩等硬岩石的孔隙或裂隙内, 受青藏高原隆升运动的影响, 形成了复杂的构造和岩性组合等独特的成藏背景, 给方法有效性实验带来很大困难。研究证明, 对海域水合物开展有效勘查的似海底反射层(bottom simulating reflectors)技术并不适用于陆域冻土区水合物, 所以结合物性研究对实验室水合物模型的地球物理特征进行研究, 分析天然气水合物电磁响应特征, 建立冻土区天然气水合物电磁学识别标志, 可以对冻土区天然气水合物勘查提供有力的技术支撑。
目前水合物物理模型试验主要集中在水合物模型的合成过程以及物理特性, 中国地质调查局青岛海洋所、中科院广州能源所微观动力学、声学、热力学等方法研究方面已取得显著成果[1, 2]; 中科院力学所任静雅等分别使用粉细砂和黏土制作四氢呋喃水合物并对其电阻进行研究[3]; 意大利的Sebastian Emanuel Lauro使用金属和玻璃制作了相关模型, 并使用高频雷达测量, 证明了分层状况下的混合体物理模型对电磁波的响应特征明显, 顶底界面反射信号清晰, 使用电磁法开展研究可行[4]。 法国的Antoine Robert使用不同频率的雷达从50 MHz到 1 GHz 分别对试验模型进行了测量, 计算出不同频率下物理模型的介电常数, 给出了介电常数与频率的经验曲线[5]。国内外目前还没有针对实验室四氢呋喃水合物物理模型开展探地雷达测试的试验。
介质的介电常数是探地雷达的物性基础。加拿大马更些地区开展过的地球物理测井表明, 同一沉积地层含水合物与不含水合物介电常数存在明显差异(图1)[6]。实验室水合物物理模型主要由水合物与围岩组成, 围岩孔隙度、水合物分布、饱和度以及环境温度等因素都会引起模型地球物理特性的相关变化。因此, 介电常数这个直观的物理量可以作为水合物模拟过程中研究实验室水合物电磁特性的一项有效技术手段[7]。
| 图1 不同沉积地层含水合物(红点)与不含水合物(黑点)介电常数对比[6] |
天然气水合物一般存在于低温和高压条件下, 极易受温压扰动而分解, 获取原位的天然气水合物很困难, 针对现场试验的技术、设备要求也随之更高。相比而言, 在实验室模拟水合物生成并对其展开电磁法研究不仅更能获得接近自然真实情况的丰富数据, 同时也能大大降低成本[8]。通过试验研究, 总结出水合物相关模型制作经验以及电磁响应标志规律, 从而对冻土区天然气水合物勘查、现场采样等方面提供理论支持。因此, 本实验采取实验室合成试样的方法。实验室合成甲烷水合物条件苛刻, 需要几个到十几兆帕高压以及-10 ℃的恒低温, 而目前实验室较流行的四氢呋喃(THF)水合物很多性质与天然气水合物相似(表1)[3], 笔者在实验中选用了THF水合物作为甲烷水合物的替代物。
| 表1 THF水合物与甲烷水合物特性对比 |
THF的结构和特性与甲烷水合物非常相似, 密度889.2 kg/m3, 无色透明液体, 与水无需搅拌可以互溶并且在常压下、低于4 ℃的环境里就可以形成晶核, 同时由于其无需高压装置在常压下就可以生成水合物, 实验安全简单。THF水合物的这些特性使得实验具备可行性, 也能模拟出甲烷水合物的电磁特征[9]。出于对实验设备、成本以及数据稳定性精确性的综合考虑, 将重点考察不同水合物含量(> 35%)在常压、常温下的稳定性以及介电常数、雷达波在模型内传播速度等变化规律, 为下一步研究与应用提供参考。
本次实验选用美国GSSI公司生产的SIR-3000型高频探地雷达, 天线采用1.5 GHz, 扫描速率192 线/s, 发射功率100 kHz, 增益采用手动3节点, 采用point点测方式单道提取计算。
THF水合物属于菱形晶体结构(Ⅱ 型)水合物, 根据这种晶体结构中水分子与 THF 分子的比例可知, 当水合物中THF与水的摩尔比为1∶ 17(如表2所示)、剩余水含量理论值最佳为零时, 有利于开展电磁法实验; THF与水比重小于1∶ 17(1/25~1/40)时, 水合物的水含量逐渐增加, 对电磁波有衰减吸收作用, 不利于相关电磁法实验的开展
| 表2 不同摩尔比的THF水溶液生成水合物后的介电常数和剩余水含量的理论值 |
为了保证试验中水合物的生成, 试验采用浓度高于体积浓度21%的溶液, 略高1~2个百分点。水合物形成的模型骨架选用天然石英砂颗粒在试验室作为围岩替代。试验条件为试验室现有冰柜, 其制冷温度为-20~-12 ℃。
实验中选用实验室内配置的相同颗粒级的石英砂颗粒(70~80 目)制备围岩, 作为水合物形成的骨架。石英砂干密度1.55 g/cm3, 孔隙度16%~20%, 介电常数3.17, 相对电磁波属于低损耗介质。制备的围岩模型有正方体和长方体各两种, 长× 宽× 高分别为:52.5 cm× 38 cm× 12 cm 和23.5 cm× 23.5 cm× 12 cm。为保证模型介质的均匀性, 将THF与水按比例混合倒入石英砂内充分搅拌。对模型内石英砂颗粒分4层压实, 每层高度3.0 cm。为防止THF液体挥发, 将模型压实后迅速封顶放入冰柜内, 冷冻时间大于48 h。制作的实验室水合物模型饱和度从35%到100%变化。为方便对水合物模型进行雷达测试, 模型容器选用订制隔温泡沫箱以起到温度延时保护作用。泡沫箱的长× 宽× 高分别为:56.5 cm× 42 cm× 14 cm 和27.5 cm× 27.5 cm× 14 cm, 内壁厚度2 cm。图2为实验制作的THF水合物模型。
经实验得知泡沫的介电常数与空气介电常数绝对值一致, 近似为1, 相对其他容器对雷达波信号干扰最小。模型测试采用三箱叠加方式, 水合物模型位于中间箱内, 上下为空箱(图3), 这样可以最大程度地区分实验室水合物模型的顶底界, 获取顶底界的雷达波识别信号特征。将高频雷达天线置于箱体上端, 均匀标注4~5个测点。
根据雷达波传播时间双程走时的性质, 由顶底界时间计算出雷达波在THF模型内经过的时间Δ t, 模型厚度已知, 可计算出在水合物模型中的传播速度VTHF。根据介电常数计算公式
式中VK是雷达波在空气中传播速度, VK=30 cm/ns, 即可计算出实验室水合物模型的介电常数。为验证数据准确性进行了计算:模型上下泡沫箱高度已知, 雷达波在空气中传播速度已知, 根据上式求出了雷达波在箱体中传播的时间, 得到的结果与顶底界时间基本一致。
首先开展对具有同尺寸和同饱和度的纯冰和THF水合物电磁特性研究。经过多次实验, 选取出具有代表性的曲线进行对比(图4)。
由图可知, 雷达波在THF水合物中走时0.81 ns, 介电常数为3.0; 雷达波在纯冰中走时0.78 ns, 介电常数3.8。相对纯水水合物, 雷达波在THF水合物中能量损耗更少, 波形振幅更大, 顶底界面反射特征更明显。根据介电常数的物理意义, THF水合物的绝缘能力要低于纯冰, 导电性强于纯冰。
本实验设计并完成了多组重复实验, 包括变化水合物含量、模型石英砂质量等参数, 得到了对比数据。图5所示为从实验数据中选取的具有代表性的、饱和度不同的雷达测试结果。可以看出, 雷达波对THF水合物的顶底界反射信号明显, 在模型顶界与底界区间内波形曲线具有规律性。顶界面雷达波是相当于从空气进入THF水合物界面, 属于光疏介质进入光密介质, 反射信号为以零值开始经历小的正峰值再反向一个大的负峰值, 雷达波进入顶界面计算时间以负峰最大值位置计算。经过12 cm厚度的实验室水合物模型后, 雷达波到达底界面, 相当于从模型底表进入空气, 属于光密介质进入光疏介质, 信号特征与顶界相反:从零值开始经历一个小的负峰值再反向一个大的正峰值。模型底界计算时间以正峰最大值位置计算。
由图6可看出, 当THF水合物饱和度从35%增加到100%变化时, 模型的介电常数从2.295逐渐增大到3.1, 介电常数与饱和度成正比例线性相关。究其机理, 模型孔隙中THF越多, 导电性越弱, THF水合物绝缘能力也就越强, 模型介电常数逐渐变大。
由图7可看出, 当THF水合物饱和度从35%增加到100%时, 雷达波在模型中的传播速度从20.37 cm/ns逐渐减小到17 cm/ns, 速度与饱和度成反比例线性相关。由于高频电磁波在有耗介质中传播具有衰减和频散特性, 随着四氢呋喃体积的增加, 模型中的有耗介质增多, 雷达波在其内部传播被衰减性增强, 传播速度逐渐减小。
由图8可看出, 当THF水合物饱和度从35%增加到100%时, 走时旅程从0.589 ns逐渐增大到0.7 ns, 时间走时和饱和度成正比例线性相关。由于模型尺寸一致, 厚度固定, 雷达波在模型介质中受衰减作用传播速度逐渐减小, 所用旅程时间越来越大。
由图9可看出, 当THF体积从0.387 L增加到1.096 L时, THF水合物介电常数从 2.25 逐渐增大到3, THF体积与介电常数成正比例线性相关。究其机理, THF体积含量增加, 水合物主要在砂颗粒表面生成, 介质内部连通条件趋佳。由于石英砂介电常数远大于THF水合物, 使得模型绝缘能力也随之增强, 介电常数逐渐变大。
| 图5 不同饱和度的THF水合物雷达测试结果 a— 饱和度35%; b— 饱和度40%; c— 饱和度50%; d— 饱和度60%; e— 饱和度70%; f— 饱和度80%; g— 饱和度90%; h— 饱和度100% |
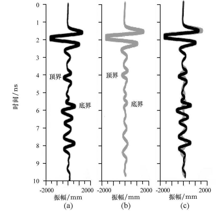
THF水合物模型需要在冰柜中冷冻超过48 h才可以达到制备要求, 但为了完成探地雷达测试, 避免周围物体干扰, 需将模型置于实验室中央空旷地带进行GPR测试, 那么在常压、室温下, 处于冻融状态的THF水合物模型是否适合开展电磁法测试、可以维持测试多长时间是我们面对的问题。针对不同饱和度模型做了多次实验, 即用同一模型在不同时刻分别进行雷达测试。图10、图11给出了测试时间间隔不同情况下的测试结果。
图10中, a、b、c、d图对应曲线顶底界基本一致; 从图10e开始, 顶底界走时开始发生了细微变化, 当模型置于室内5 h后, 雷达波形变化特征明显(图10g)。
由图11可看出, 当测试间隔时间在15~90 min间变化时, 模型介电常数从0.705逐渐增大到0.709, 具体表现为0~45 min内介电常数维持在0.705, 从60~90 min区间, 介电常数突变升高了一个数量级, 达到0.7075~0.709。由于在室温下, THF水合物处于冻融状态, 冻结面受高温影响开始液化, 液态水含量增多(水的介电常数为81)。当模型沉积物孔隙中水合物和液态THF共存时, 合成试样的THF体积分数越大, 孔隙中液态THF越多, 水合物模型的介电常数也随之增大。
| 图10 THF水合物稳定性实验结果 a— 模型保持7 min; b— 模型保持15 min; c— 模型保持30 min; d— 模型保持45 min; e— 模型保持60 min; f— 模型保持75 min; g— 模型保持5 h; h— 曲线叠加 |
通过一系列针对石英砂与四氢呋喃混合生成水合物模型的雷达测试实验, 改变水合物在模型中的饱和度、体积含量, 得到介电常数、传播速度、走时等参数与其大致关系, 并测试了模型冻融状态的稳定性, 主要结论如下。
1) 当四氢呋喃水合物模型饱和度大于35%时, 水合物模型介电常数随四氢呋喃体积增大而增大, 雷达波模型中传播速度逐渐减小, 走时逐渐增大。
2) 四氢呋喃水合物在10℃室温及常压下可以保持近45 min的模型稳定性; 针对单个模型开展雷达测试, 无论点测或者连续测量均能在该时间内完成, 数据准确度较高、可信。
3) 模型构成较单一。根据已知冻土带水合物的物理性质, 模型后期将加入黏土、环氧树脂等在围岩组成、胶结程度、分布等方面提高相似性和复杂性, 同时制作饱和度低于30%的水合物模型进行测试, 丰富数据。
The authors have declared that no competing interests exist.
| [1] |
|
| [2] |
|
| [3] |
|
| [4] |
|
| [5] |
|
| [6] |
|
| [7] |
|
| [8] |
|
| [9] |
|
| [10] |
|
| [11] |
|
| [12] |
|
| [13] |
|
| [14] |
|

