作者简介: 苗永康(1969-),男,高级工程师,博士学位,长期从事地球物理方法研究及应用工作。E-mail:miaoyongkang.slyt@sinaopec.com。
叠前地震全波形反演是利用波动方程正演模拟来描述地震波传播特征,通过非线性局部寻优方法来获取高精度反演结果的方法。与其他反演方法相比,全波形反演利用的是叠前炮域地震数据,没有经过叠加处理,更好地保留了振幅、相位、频率等波形参数随偏移距变化的特征。在反演结果中得到的不再是简单的界面和旅行时信息,而是反映地层速度和构造特征的深度域数据体,有助于对地质体的分析和认识。从叠前全波形反演方法的优势出发,通过理论模型的全波形反演,分析做好全波形反演的技术关键,然后将全波形反演方法应用于实际资料处理,并将反演结果应用于偏移处理和河流相储层识别中,取得了良好的应用效果。最后针对全波形反演实际资料应用中应该注意的问题进行了总结,为叠前全波形反演的进一步发展和应用提供借鉴。
Pre-stack seismic full waveform inversion (FWI) is based on wave equation forward modeling technology to describe the propagation characteristics of seismic wave,using non-constrained iterative local optimization method to get high resolution inversion result.Compared with other inversion methods,FWI uses pre-stack common shot gather to perform inversion,in which the seismic data are free of the process of stack and preserve the features of waveform parameters variation with offset.The inversion result is no longer simple interface and traveltime information but depth-domain data volume which reflects formation velocity and structural characteristics,and this is helpful to the analysis and understanding of the geological body.In this paper,the technical advantages are analyzed in the aspect of pre-stack full waveform inversion methods,and the key technology to do a good job of pre-stack full waveform inversion is also analyzed through synthetic data.Furthermore,the technical advantages of pre-stack full waveform inversion are illustrated through inversion results in migration processing and its application in reservoir description of fluvial facies,and the existing difficulties and the future development direction of pre-stack seismic full waveform inversion are also analyzed,which will provide reference for further development and application of pre-stack seismic full waveform inversion.
随着世界油气资源的日益紧张, 勘探的难度也日益加大, 勘探地球物理学家对于地震成像精度的要求也越来越高, 因此发展高精度地震勘探技术迫在眉睫。全波形反演方法利用叠前地震波场的运动学和动力学信息重建地层结构, 具有揭示复杂地质背景下构造与储层物性的潜力, 因此迅速发展起来, 已成为当今地球物理界的热点技术。自从1984年以来, 全波形反演的方法经历了大致3个发展阶段:第一阶段20世纪80年代到90年代时期, 理论框架建立阶段[1, 2, 3]; 20世纪90年代到2005年左右期间, 为全波形反演的稳定发展阶段[4, 5, 6], 主要的代表是Pratt的频率域的全波形反演[7, 8]; 从2005年至今为全波形反演蓬勃发展阶段[9, 10, 11, 12, 13], 其在反演频率选择策略、目标函数设置方式、震源子波处理方式、梯度预处理方法、初始模型建立、效率优化等方面取得了进展。如今全波形反演逐步从二维反演走向三维反演, 从声波走向弹性波反演, 从单参数反演走向多参数反演, 从理论模型验证到实际资料的反演。
叠前地震全波形反演是通过波动方程正演模拟, 求取叠前地震炮集记录与正演模拟炮记录之间残差, 利用伴随状态法求解梯度算子, 之后构建Hessian矩阵、计算梯度算子, 进而迭代求取地下速度模型的反演方法。首先应用的地震数据为炮域地震数据, 没有经过相关的叠加等处理, 更好地保留了振幅、相位、频率等波形参数随偏移距变化的特征, 再者采用波动方程完成的反演数学计算, 更好地描述地震波的传播特征, 得到的不再是简单的界面和旅行时信息, 而是反映地层速度和构造特征的深度域数据体, 有助于对地质体的分析和认识。
笔者从叠前全波形反演目标函数的实现过程、技术关键及效果分析等几个方面, 分析了叠前全波形反演的技术优势。同时也分析了目前叠前全波形反演存在的问题, 尤其是在陆相地震资料中存在的难点, 为后续全波形反演的发展和进一步应用提供借鉴。在算法上, 建立观测记录与模拟记录的最小二乘目标函数, 采用局部线性化的思想求取梯度算子, 为了提高计算效率避免超大计算量的雅可比矩阵的求取, 梯度算子计算采用基于伴随状态法的时间域全波形梯度算子公式。文中的示例均用自己研发的全波形反演软件完成。
全波形反演大致分为3个关键步骤:目标函数的建立、梯度的求取、迭代反演。目标函数可直接影响全波形反演的非线性强度, 文中所用的目标函数是Tarantola在1984年提出的最小二乘目标函数。首先利用实际野外观测的地震记录与正演得到的模拟记录进行匹配, 求取波场的数据残差:
然后用最小二乘的思想, 使误差函数
最小。其中, m为模型空间N中的点。
梯度算子的构建是全波形反演中至关重要的一步, 其精度直接影响反演的速度。上世纪80年代Tarantola等人建立全波形反演理论框架的同时利用震源的正传波场与波场残差的反传波场进行互相关求取梯度算子, 避免了直接求取雅可比矩阵, 之后Plessix又重新推导了基于伴随状态法的时间域全波形梯度算子公式:

其中, v为传播速度, u(t)为震源的正传波场, J为波场u的雅可比矩阵, xs为炮点的空间位置, T为正传波场的最大时间, q(T-t)为以波场数据残差δ d为震源进行波场逆时反传的波场记录。
叠前地震全波形反演是基于波动方程的反演方法, 寻找准确的模型参数使得模拟数据与观测数据达到最佳吻合, 波场误差达到全局最小, 通过迭代反演得到速度参数。与常规反演不同的是它的观测波场为地震炮集资料, 正演模拟波场为通过声波波动方程或者弹性波波动方程正演模拟得到。波动方程的正演模拟是认识地震波传播规律、对地震资料的解释结果正确与否进行检验及确定合适的野外采集参数的强有力工具, 与基于褶积模型的反演方法相比, 不仅考虑了反射振幅, 而且加入了振幅、相位、波形等动力学信息。与基于褶积模型的常规反演相比, 全波形反演更加注重波场信息的丰富程度以及准确度, 采用基于波动方程的波场反传算子, 即通过逆时偏移将波场误差偏移到正确的空间位置, 进而求得模型修正量。
全波形反演根据实现的域不同可分为时间域全波形反演和频率域全波形反演。频率域全波形反演是利用Fourier变换, 将时间— 空间域内的波动方程转换到了频率— 空间域。在频率域全波形中不同频率自然解耦, 在反演过程中可采取逐频对地震数据进行反演, 从而保证反演结果中低波数的正确性, 避免陷入局部极小。时间域全波形的优势在于正演算子易于实现, 在频率— 空间域内, 波动方程正演需要求解大型稀疏矩阵, 其对计算机的硬件要求较高, 在应用三维全波形反演中内存消耗在上百GB级别, 频率域正演难以实现, 在时间— 空间域内, 波动方程存在波场值对时间的二阶偏导需要以时间递推进行求解计算。
全波形反演属于非线性反演方法。全波形反演目标函数的求解则是非线性最优化问题。求解最优化问题就是要求目标函数在约束条件下的极小点问题, 及求出全局最优解, 但是在一般情况下, 往往只能求出它的局部最优解。目前求解非线性问题的常用的方法有最速下降法、共轭梯度法、牛顿法、高斯牛顿法, 可以大致分为梯度类和牛顿类算法。
从全波形反演的目标函数和求解过程, 可以看出, 正演模拟是全波形反演由初始速度模型得到模拟波场, 与实际波场进行对比并求取残差进而计算修正模型的关键步骤。要得到好的全波形反演效果必须保证正演模拟的稳定性、准确性。目前正演模拟算法常用的有射线法、有限差分法、有限单元法及有限差分法与Fourier法变换相结合的方法。这些方法各有优缺点。有限差分法在计算效率与计算精度上都比较好, 是较为常用的正演模拟方法。对常微分方程的任何一种计算格式, 都必须考虑它的稳定性和收敛性, 这是关系到算法成功与否的极其重要的问题。一个好的差分格式数值稳定性是差分格式的必要条件。因此, 在确定一个差分格式作为计算手段之前, 一定要研究差分格式的稳定性。
地球介质通常被假设为半无限空间介质, 而实际在进行计算机数值模拟时, 总是人为地限定了地球介质的计算区域, 这就引入了人为边界。这种人为边界上的反射通常比真正的物理界面的反射还要强, 将干扰有效波信息, 甚至可能掩盖一些有效波的信息, 必须加以消除或者尽量地减小这种边界反射。因此, 利用波动方程进行数值模拟, 一个关键问题就是边界条件。如针对一个二维模型进行叠前地震全波形反演, 如果正演模拟算法中边界条件选择不合适, 必定给反演结果带来较为严重的影响。
图1展示了不同边界条件下对应的正演记录, 从图中可以看出, 在边界条件不好的情况下, 有很明显的边界反射和虚假成像, 如图1a中红色方框标识的区域。
图2展示的是不同边界吸收情况对应的梯度结果。可以看出如果边界吸收情况不好, 对应的梯度会产生虚假地层的成像, 影响反演的结果。图2a所示的是没有将人工边界反射处理好, 图2b是吸收比较好的结果。
目前大部分已发表文章都是针对理论模型的, 数据震源子波已知, 观测系统是规则的, 地震道能量均衡, 不含噪声特别是没有面波。但在实际资料应用中这些因素都是不可忽视的, 尤其是陆上资料观测系统严重不均匀, 缺炮现象广泛存在, 噪声多, 能量不均匀。这些因素直接影响反演结果的正确性与稳定性。叠前去噪、多次波压制、静校正等资料预处理问题及初始模型的建立是全波形反演资料预处理的关键。实际陆上地震资料面波能量强, 甚至其能量高于直达波振幅能量, 有效反射波被掩盖, 全波形反演中面波去除是不可或缺的一步环节。去除面波能量的同时还需要保留有效的地震波成分。
地震振幅的均衡处理也是常规地震处理流程中的重要环节, 由于采集观测系统设计问题, 检波器与地面耦合问题等都会造成不同检波点接收记录能量上的差异, 甚至能够达到几个数量级的差异, 必须进行能量均衡处理, 消除仪器等非地层因素引起的能量变化。
全波形反演可恢复速度场中的高波数成分, 速度场中低波数成分的构造需要在初始速度模型中给予准确的表达。因此初始速度模型的准确建立是全波形反演结果正确与否的关键问题之一, 可通过旅行时层析、速度分析等方法来构造初始速度模型。
图3给出了真实速度及两种不同的初始模型, 图3b中低波数成分的构造相对图3c中能更有效地表达。图4a、4b分别为由图3b、3c所示的初始模型反演得到的结果。图4a反射层可以正确归位, 图4b的深部反射层归位有误差, 证明速度中的低波数成分影响波传播的旅行时导致观测记录与模拟记录匹配时存在误差, 因此图4b的反演速度不能准确归位, 这种匹配误差较大时, 观测记录与模拟记录波形相差大于半个周期就会导致误差函数陷入局部极小而产生错误的反演结果。
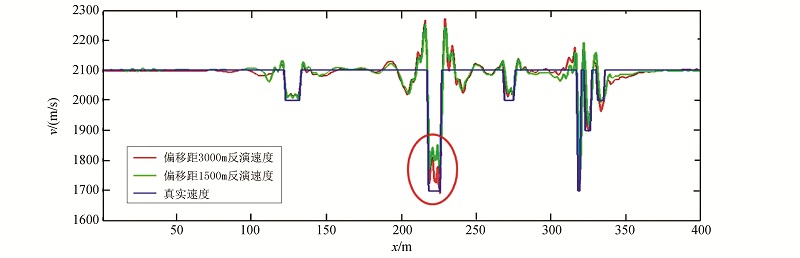
与覆盖次数和偏移距影响地震资料成像一样, 地震资料的覆盖次数和偏移距对全波形反演影响比较大。图5为不同偏移距对应的正演记录, 图6为不同偏移距对应的梯度, 图7为不同偏移距对模型反演速度结果, 对比分析可以看出偏移距越大上层低速体速度反演越好(在图中蓝色低速体的速度颜色越深), 从而导致下面平层反演的速度越直。
1 500 m 偏移距反演速度更加接近于真实速度。若偏移距较小, 由于低速体的存在可导致速度反演结果不准确, 发现当偏移距达到目的层1.5倍的时候反演效果要明显好于偏移距小的。尤其是低速体及低速体下方地层速度的构造形态和速度特征。图8为抽取不同偏移距对应的单道反演结果, 可以看出大偏移距对应的反演结果更接近真实值。所以, 增大偏移距可使信息更加丰富, 旅行时信息更准确, 上层速度反演效果更好, 因此下层速度轴可以拉直。
图9为不同覆盖次数得到的反演效果对比, 其中图9a为6个单炮得到的梯度, 图9b为44个单炮得到的梯度。可以看出:图9a因炮数少, 覆盖次数低, 有很明显的划弧现象; 而图9b覆盖次数提高, 划弧现象可以有效压制, 地下构造能清晰表达。
为了说明全波形反演在实际资料中的应用效果, 选取了实际地震工区进行反演。CD地区发育新近系河流相储层, 是油田重要的增储上产层系。但是对于河流相储层来说, 由于河道变迁和多期次叠置等沉积特点, 在河流相的储层描述中, 储集层砂岩纵横向厚度变化快、连通性差、油水关系复杂。常规基于测井资料插值构建的反演初始模型, 其横向上以井点之间距离的倒数为权值, 多井点加权平均的结果, 横向精度不准确。以全波形反演结果和测井资料为建模依据, 配合沉积标志层的解释成果, 发挥全波形反演结果横向精度高和低频特征丰富, 测井资料纵向分辨率高的优势, 就可以构建横向插值精度更高的反演初始模型。
该地区经过预处理后进行波形反演及联合反演与测井资料的联合建模(图12), 在此基础上, 开展常规叠前地震反演, 与常规的地震反演相比, 储层的描述精度得到了提高。虽然右边两口井没有参与反演, 但从联合反演结果上3口井间的储层叠置关系符合开发油水关系和地质地层对比关系, 井点处储层厚度及厚度横向变化也比较准确, 明显好于基于常规测井约束建模的反演结果。为了验证联合建模和反演的效果, 图中右边的2口井均为验证井, 没有参与建模和反演。联合建模后井点处反演储层厚度和横向展布规律明显好于常规测井约束建模反演结果, 横向阻抗变化更加符合河流相沉积特征。两口验证井, 在联合反演剖面上, 厚度的变化, 叠置关系都要好于常规建模反演。与常规建模反演方法相比, 加入波形反演约束的联合建模反演方法能够很好的体现储层的横向变化。
全波形反演是一种能够得到地层层速度信息的新技术, 通过模型数据及实际资料分析表明, 波动方程正演模拟的边界效应及计算精度, 地震资料的覆盖次数、偏移距, 正演模拟子波的选取及初始速度模型精度等因素对全波形反演影响比较大, 在实际应用过程中需要针对目的层深度选择合适的偏移距、子波, 建立相对比较准确合理的低频初始速度模型。通过本文研究表明:
全波形反演不但可以为地震资料成像提供速度模型提高地震资料成像质量, 在储层描述中同样可以发挥重要作用, 尤其是对于河流相等横向变化比较快地质体, 由于全波形反演从炮集资料出发, 采用波动方程正演模拟计算, 具有更好的保真性, 因此在陆上地震资料储层描述中, 全波形反演能够发挥很好的作用, 尤其是对于横向变化比较快的薄储层具有精细刻画能力。
做好全波形反演需要从地震资料采集做起。增大地面观测系统偏移距和覆盖次数, 增加观测数据的连续均匀性和充分性, 做到全频带、全方位采集, 有利于提高目标区的照明度和频带宽度, 进而提高全波形反演的反演精度。
初始速度模型精度影响全波形反演收敛速度及精度, 降低全波形反演对初始速度模型的依赖是今后全波形反演研究需要解决的问题。
文中对原始炮集预处理没有讨论, 在实际工作中, 同样是必须认真考虑的影响因素。
致谢:感谢胜利油田物探研究院慎国强、张达、王希萍、高侠等专家学者提供的技术支持。
The authors have declared that no competing interests exist.
| [1] |
|
| [2] |
|
| [3] |
|
| [4] |
|
| [5] |
|
| [6] |
|
| [7] |
|
| [8] |
|
| [9] |
|
| [10] |
|
| [11] |
|
| [12] |
|
| [13] |
|

