作者简介: 刘瑞合(1977-),男,高级工程师,中国石油大学(华东)在读博士,主要从事地震资料处理方法研究与应用工作。
地震数值模拟中,完全匹配层(PML)边界能有效地吸收衰减地震波,得到无边界反射干扰的波场快照和地震记录。在前人研究的基础上,进一步分析了分裂完全匹配层(SPML)的衰减机制,通过波动方程模拟,分析了震源主频、空间网格间距、介质速度等参数对SPML边界吸收衰减特征的影响。得到了不同条件下,PML边界对地震波的吸收效果。通过分析对比,得出了震源主频对PML吸收效果无直接影响,空间网格间距与PML吸收效果成反比,高速层PML吸收效果缓慢等结论。并通过Marmousi2模型测算,对结论进行了验证。最后给出了复杂模型、不同尺度数值模拟中SPML参数的选取方法,为地震数值模拟中SPML边界参数的定量选取奠定了基础。
In seismic numerical simulation, the perfectly matched layer (PML) boundary can attenuate the seismic wave effectively,and the snapshots and record have no boundary reflection interferes.The authors further analyzed the attenuation mechanism of split perfectly matched layer (SPML).By wave equation simulation, the authors analyzed the problem as to how the parameters affect absorption and attenuation characteristics of SPML boundary,such as source dominant frequency,spatial grid spacing and medium speed.As a result,the authors obtained the results of PML attenuation based on different conditions.Through analyzing and comparing the results,the conclusions have been reached that source dominant frequency has no direct influence on PML attenuation,spatial grid spacing is in inverse proportion to the PML attenuation,and high-speed medium slows down PML attenuation effect.By Marmousi2 test,the authors confirmed the validity of the conclusions.The selection method of SPML parameter in complex model or different scales of numerical simulation was given,which lays a foundation for quantitative selection of SPML boundary parameters in numerical simulation.
地震数值模拟是观察地震波在复杂介质传播规律和特征的有效手段。由于存储和计算的限制, 只能在有限空间模型中进行计算, 这就不可避免的产生边界反射。为了消除边界反射, 提高地震模拟质量, 边界处理就显得尤为重要。目前, 应用较为广泛的边界条件主要有衰减边界条件和透射边界条件。衰减边界条件主要有Cerjan等[1]提出的海绵边界和Berenger[2]提出的完全匹配层(PML)边界, 透射边界主要为Clayton等[3]提出的傍轴近似边界。海绵边界通过衰减层来吸收地震波, 需要足够厚的吸收层才能获得满意的效果, 增加较多的计算量。傍轴近似边界只能对特定入射角和频率的地震波有效, 对面波吸收不理想。PML边界可以完全吸收来自各个方向、各个频率的波, 而不产生任何边界反射。
在有限差分双程波数值模拟中常用衰减边界条件, 其中PML完全匹配层边界使用最多
虽然前人已在不同介质中成功应用了SPML边界
计算区域的地震波垂直入射到SPML边界时、经过衰减的子波与无边界时、未衰减的子波振幅比为[9, 14]:
其中:u* (x, t)表示完全匹配层中的子波, u(x, t)表示无边界的子波, dx(x)是衰减项; kx是波数, ω 是角频率。由式(1)可知, 在SPML边界, 波场值随距离的传播呈指数衰减。
衰减项主要有三角函数形式[15] 和指数形式
其中:x为到PML层内边界的距离, H为PML层厚, dmax为最大衰减值[12] ; R为理论反射系数, 取10-6; cmax为介质速度最大值。实验表明, 当n=4时, 具有较好的效果和稳定性[8] 。基于Hastings的研究成果[8], 进一步分析了震源主频、空间网格间距、介质速度等参数对SPML边界吸收衰减特征的影响。
将式(2)代入式(1)得:
又由于波数kx=ω /c, c是介质速度。代入式(3)后, 式(4)可进一步简化为:
式(5)即为SPML边界的衰减公式。当模型为均匀介质时, cmax=c, SPML衰减效果只与SPML层厚H, 到SPML层内边界的距离x和多项式的阶数n有关; 当模型为非均匀介质时, cmax≥ c, SPML衰减效果还与介质速度c有关。
采用时间二阶、空间十阶差分精度的声波方程进行模拟。震源位于模型中央, 检波点布置在SPML边界周围。由于有限差分的离散性, 介质属性在计算区域与SPML交界面会产生突变。当地震波从计算区域内向SPML吸收区域传播时, 会在两者的分界面处产生数值反射波。所以, 不同模型下, 合理的设置最大衰减项dmax, 减小数值反射波, 从而提高SPML边界吸收衰减效果。笔者通过提取每道地震记录的峰值, 来反应SPML层内的吸收衰减特征, 并定义数值反射波强度的表达式为:反射强度=反射波/入射波。
采用一个1 000 m× 1 000 m的均匀介质模型, 速度为3 000 m/s。模型的空间网格间距Δ x=Δ z=10 m, 采样间隔Δ t=1 ms, 震源为主频20 Hz的Ricker子波。分析了SPML边界分别设置为10~100层时, SPML边界的吸收衰减特性(图1)。
通过图1可以发现, 不同层数的SPML边界都能对子波进行较好的衰减; SPML层数越大, 衰减越平缓。由式(3)可知, 最大衰减项dmax与SPML厚度成反比。当SPML层数减小时, 最大衰减项dmax增大, 导致数值反射波强度陡增, 从而影响SPML吸收衰减效果。图2给出了不同SPML层数的数值反射波强度, 其中可以看出, 20层和30层处为明显的拐点。这是由于PML边界的存在导致地震波传到边界时会产生反射波, 而反射波强度的大小取决最大衰减项dmax。在如今的地震模拟中, 一般采用10层左右的PML边界即可取得比较不错的吸收效果
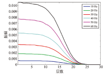
在式(1)中, SPML吸收衰减特征与频率有关, 而式(5)消除了频率项的影响。为了验证频率对SPML吸收衰减特征的影响, 在2.1小节的模型基础上, 震源分别设置为10~60 Hz的Ricker子波。同时为避免频散, 空间网格间距均取5 m, SPML层数设为30层。
图3中不同主频子波的最大振幅均为1, 子波能量随着主频增加而增加。所以传播相同距离后60 Hz子波能量最高, 衰减的最剧烈; 10 Hz子波能量最低, 衰减最缓慢。但在25层之后, 能量基本都衰减为零。说明不同主频子波, 在相同空间网格间距情况下, SPML吸收衰减特征基本一致, 震源主频并没有影响。对于井间地震和声波测井等高频波动方程正演模拟, 随着频率的增大, 为了避免频散, 空间网格间距变小。但在相同空间网格间距条件下, 结论依然成立。
采用五个速度从1 000~5 000 m/s变化的均匀介质模型, 由于低速层的存在, 空间网格间距设为5 m, 由于空间网格变小, SPML层数设为50层, 模型大小1 000 m× 1 000 m, 震源为主频20 Hz的Ricker子波。图4为振幅归一化后, 不同速度的SPML吸收衰减特征。
通过图4可以发现, SPML吸收衰减特征与层速成反比, 速度越大, SPML衰减越缓慢。为了得到无边界反射干扰的波场快照和地震记录, 需要考虑高速层的SPML吸收衰减特征。
由此可见, SPML边界对不同波长子波的吸收衰减特征的差异主要体现在速度的区别, 而与子波主频无关。
地震勘探所面临的地质条件愈加复杂, 介质速度变化剧烈。为了保证计算的精度和稳定性, 更好地表征地质体的地震反射特征。针对不同地质条件, 采用不同空间网格间距进行数值模拟是有效途径。
通过式(3)可知, 当SPML层数固定、空间网格间距变化时, 最大衰减项dmax与空间网格间距成反比。图5给出了30层SPML, 空间网格间距分别为0.5、1、5和10 m的数值反射波强度。
当空间网格间距减小时, 最大衰减项dmax增大, 从而导致数值反射波加强, 干扰地震记录。因此, 在不同空间网格间距的数值模拟中, SPML的最大衰减项dmax均应取较小的值, 才能有效控制数值反射波的强度, 获得无边界反射干扰的地震记录。
对于不同空间网格间距的SPML, 我们均采用空间网格间距为10 m时所对应的最大衰减项dmax。此时, 式(5)变为
可见, 当最大衰减项dmax固定时, 相同SPML层数, 空间网格间距越小, 衰减效果越弱。
在1 000 m× 1 000 m的模型中, 分别以0.5、1、5和10 m四种空间网格间距进行数值模拟。介质速度为3 000 m/s, 震源为主频20 Hz的Ricker子波, SPML边界分别设置为600、300、60和30层。
通过图6可以看出, 为达到相同衰减效果, 不同空间网格间距数值模拟所需要的SPML厚度相同(图6a), 空间网格间距越小, 需要的SPML层数就越多(图6b)。这也就解释了在小尺度数值模拟中, SPML边界所需层数成倍增加的原因。
采用Marmousi2模型验证所得结论的正确性, 模型长17 000 m、深3 500 m, 具有多个复杂构造和圈闭。分别以1.25、5和10 m空间网格间距进行数值模拟, 震源为主频20 Hz的Ricker子波, SPML边界均取50层, 得到5 500 ms的地震记录。
对比图7b、图7c和图7d可以看出, 相同层数SPML, 随着网格间距不断减小, 边界反射愈加严重 (图7d箭头指示处)。由于尺度越小, 模型越精细, 所以地震记录内容越丰富。图7c中, 右侧边界反射明显强于左侧, 这是由于模型右边存在高速层所致, 导致SPML边界的吸收衰减效果减弱, 边界反射增强。并且, 由于模型右侧高速层相对于左侧高速层埋藏较浅, 5 500 ms的地震记录只记录到模型右侧高速层的反射波, 导致记录右侧反射波旅行时小于左侧。
在分裂完全匹配层(SPML)边界衰减机制的基础上, 通过波动方程模拟, 进一步分析了影响SPML吸收衰减特征的因素, 并通过Marmousi2模型分析验证, 得到以下结论:为了得到无边界反射干扰的波场快照和地震记录, 在空间网格间距为10 m的情况下, SPML层设为20~30层较为理想; 在相同空间网格间距条件下, 震源主频对SPML吸收衰减特征并无影响; 在高速层中, SPML衰减较慢, 需要考虑高速层对SPML吸收衰减特征的影响; 不同波长子波的SPML吸收衰减特征差异主要体现在速度的区别, 与子波主频无关; 为达到相同衰减效果, 不同空间网格间距数值模拟需要相同厚度的SPML边界, SPML层数与空间网格间距成反比。
由此可见, 对复杂模型在不同尺度下的数值模拟, 需要选取适当的SPML边界参数, 才能获得较好的吸收衰减效果, 得到无边界反射干扰的波场快照和地震记录。文中具体分析了影响SPML边界的吸收衰减因素, 明确了对SPML边界衰减机制的认识。给出了复杂模型、不同尺度数值模拟中SPML参数的选取方法, 为地震数值模拟中SPML边界参数的定量选取奠定了基础。
The authors have declared that no competing interests exist.
| [1] |
|
| [2] |
|
| [3] |
|
| [4] |
|
| [5] |
|
| [6] |
|
| [7] |
|
| [8] |
|
| [9] |
|
| [10] |
|
| [11] |
|
| [12] |
|
| [13] |
|
| [14] |
|
| [15] |
|
