作者简介: 冯志民(1961-),男,汉族,物探高级工程师。Email:zhmfeng@gmail.com
宁东地区是宁夏规模最大的含煤区,已发现9个石炭—二叠纪和侏罗纪大煤田。笔者对宁东地区1∶20万区域重力资料进行进一步处理,根据宁东含煤区石炭—二叠纪煤田与侏罗纪煤田2种类型,采用2.5D正演建立煤田重力场模型,并说明采用位场分离方法能够分离与识别含煤区;利用小波分析方法对布格重力进行分析,结果发现:小波一、二、三阶细节与已知的煤田对应较好,而滑动平均等传统的位场分离方法分离的局部异常则无明显对应关系。利用重力小波一、二、三阶细节预测了宁东地区石炭—二叠系和侏罗系含煤区的远景,充分发挥了1∶20万区域重力资料在煤田勘探中的作用。
As the largest coal-bearing area in Ningxi,the east Ningxia(Ningdong) area has nine Permian-Carboniferous and Jurassic coal fields.According to the characteristics of these two types of coal fields in the Ningdong area,the authors established the 2.5D gravity field model from the forward modeling.The coal-bearing area could be identified and separated by the potential field separation method based on the 1∶200 000 gravity data.It is found that the first to third wavelet details correspond well with the known coal fields after applying the wavelet analysis to the Bouguer gravity anomaly,while the local gravity anomalies derived from the slide averaging method have no obvious correspondence with the known coal fields.Therefore,the wavelet analysis of the gravity data has good performance in predicting the Permian-Carboniferous and Jurassic coal-bearing area.And at the same time,the use of the 1∶200 000 gravity data is maximized for the coal field exploration.
中图分类号: P631 文献标识码: A 文章编号: 1000-8918(2016)03-0461-06
煤炭是宁夏的优势矿种, 宁夏地处西北侏罗纪聚煤区的东部边缘和华北石炭— 二叠纪聚煤区的西缘, 具有石炭— 二叠纪和侏罗纪两大聚煤区的聚煤特征。宁东煤田位于宁夏东部, 煤田北起红墩子, 南至萌城, 西以黄河断裂及青铜峡固原大断裂为界, 东以陕西省为界, 南北长104~200 km, 东西宽80~105 km, 面积13 224 km2。煤田由9个矿区构成, 位于北部的红墩子、横城矿区, 位于南部的韦州矿区, 位于中部的石沟驿、灵武、鸳鸯湖、马家滩、积家井、萌城6个矿区[1, 2]。
笔者根据实际含煤区的石炭— 二叠纪煤田与侏罗纪煤田2种类型, 采用2.5D正演方法建立煤田重力场模型, 利用重力小波分析一、二、三阶细节预测石炭— 二叠系和侏罗系含煤区的分布范围, 预测结果与已知的煤田对应较好。
在油气勘探中, 通常利用重力方法寻找局部构造, 在凹陷中找局部隆起构造, 常称为“ 凹中隆” 。这是因为油气往上运移, 聚集在局部构造的隆起部位。因此, 利用重力方法在重力低中寻找局部重力高就能够找“ 凹中隆” 。煤田重力模型与油气田构造的重力模型完全不同, 由于含煤层在形成以后就不会迁移, 只受构造变动, 如褶皱、凹陷隆起、断裂等作用的影响。找含煤构造不是简单地只找“ 凹中隆” , 而是要研究含煤构造的起伏变化与分布范围。如李土雄等介绍, 山东巨野煤田主要含煤岩系是石炭— 二叠系, 由于石炭— 二叠系地层与其基底奥陶系、覆盖层中新生界存在密度差, 因此可以结合钻孔资料, 利用重力异常计算石炭— 二叠系地层的厚度, 以及奥陶系地层的顶部埋深, 进一步圈定煤炭成矿远景区。远景区分布在重力低的边缘, 局部重力升高处[3]。颜洪鸣介绍坳陷构造区找煤时指出, 关键是寻找凹中隆, 在总体下沉的断块中寻找凸起断块。坳陷构造区的重力场特征是:大面积低值负重力异常显示中, 在相对隆起区域断块凸起地方形成明显的重力高。此种重力高绝对值不高但相对值较高, 是重力低背景场中的重力高[4, 5]。宁东地区有石炭— 二叠纪煤田和侏罗纪煤田2种类型, 石炭— 二叠系地层密度高会形成局部重力高异常, 而侏罗系地层密度低会形成局部重力低异常。宁东地区根据重力找煤的复杂性是既要在石炭— 二叠系地层高重力异常背景中寻找含煤远景低局部重力异常, 又要在侏罗系地层低重力异常背景中寻找含煤远景高局部重力异常。
宁东地区布格重力异常为一平缓开阔的相对重力低值区, 重力低是中生界沉积中心区带, 下古生界构造层顶界面的起伏变化是影响重力分布的主要地质因素(图1a)。
图1b是宁东地区利用滑动平均方法分离的局部重力异常, 宁东地区局部重力异常除与古生界构造层顶界面的起伏变化有关外, 还与中生界内部构造有关。局部异常与已知中生界油藏或煤田区有一定的对应关系。如δ g-35与马家滩储油构造对应、δ g-41与大水坑油藏分布区对应、δ g-43与红柳沟油田对应、δ g-37则对应着石沟驿侏罗系含煤区[1]。利用滑动平均等方法得到的剩余重力异常虽然能够分析一些局部重力异常与油气及煤田的关系, 但是对应关系不太好(图2)。重力方法能否在煤田构造研究与远景预测中发挥作用是煤田重力勘探待解决的问题。
从宁夏地层密度统计(表1)可以看出, 宁夏地区存在2个主要的密度分界面, 上部密度分界面在上古生界以下地层与其上覆中生界之间, 存在 0.04 g/cm3的密度差; 下部密度分界面在下古生界及以下地层与上覆中生界、上古生界之间, 存在 0.08 g/cm3的密度差。
| 表1 宁夏回族自治区地层密度统计 |
1.3.1 石炭— 二叠纪煤田重力模型
根据橫城煤田、韦州煤田地质模型来建立重力场模型, 橫城煤田、韦州煤田位于上古生界地层的局部凹陷中, 上古生界地层密度高于上覆的中新生界地层, 密度差约0.04 g/cm3, 若上古生界地层逆冲, 则由于上古生界地层相对于周围的中生界地层密度高, 会在较大范围形成局部重力高异常; 而若上古生界地层内本身存在局部凹陷, 则会在较大范围的局部重力高异常中又产生次一级的重力低异常, 图3是利用2.5D正演建立的重力场模型。因此, 可以利用小波分析方法对重力异常进行多尺度分析, 分别提取上古生界地层较大范围的局部重力高异常与上古生界地层凹陷(煤富集区)产生的次一级较小范围的局部重力低异常。
1.3.2 侏罗纪煤田重力模型
图4a是在二叠— 三叠— 石炭系地层基底上沉积侏罗系地层的凹陷重力模型; 图4b是二叠— 三叠— 石炭系地层受构造变动形成凹陷与隆起, 在其上沉积地层的重力模型, 图4b表示侏罗纪煤田重力模型。
延安组聚煤作用是在三叠系起伏不平的基底之上发展起来的。中燕山亚旋回期(中侏罗世末至早白垩世初)构造运动在本区表现剧烈, 使侏罗纪及其以前的地层褶皱成山, 形成一系列近南北向的褶皱曲与断裂[6]。
侏罗纪煤田, 如石沟驿、灵武、鸳鸯湖、马家滩、积家井、萌城煤田, 位中生界地层局部凹陷中。上古生界地层密度高于上覆的中新生界地层, 密度差约0.04 g/cm3, 在上古生界地层背景下, 中生界地层会产生局部重力低异常, 而当中古生界地层的上顶面有起伏变化时, 则会在局部重力低异常中又产生次一级的重力高或低异常, 如石沟驿煤田为次一级的局部重力低异常, 而马家滩煤田则是重力低中的次一级局部重力高异常。可以利用小波分析方法对布格重力异常进行多尺度分析, 分别提取中生界地层的局部重力异常, 他们的次一级异常则反映中生界地层的局部隆起与凹陷。
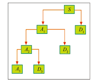
近年发展起来的非线性科学的数学方法小波分析在信号处理与地球物理方面得到广泛应用。通过小波多尺度分析(图5), 把一个信号S分解为一阶逼近A1与一阶细节D1; 一阶逼近A1又可以进一步分解为二阶逼近A2与二阶细节D2, ……, 如此分解下去, 以三阶分解为例, 信号S可以表示为一、二、三阶细节D1、D2、D3与三阶逼近A3之和。对于一个磁异常Δ T, 类似地也可以分解为三阶逼近Δ T三阶逼近与一、二、三阶细节Δ T三阶细节、Δ T二阶细节、Δ T一阶细节之和, 由此实现对一个复杂重磁异常的分解[7, 8, 9]。
Δ T=Δ T三阶逼近+Δ T三阶细节+Δ T二阶细节+Δ T一阶细节
与标准的傅里叶变换相比, 小波分析中使用到的小波函数具有不唯一性, 即小波函数具有多样性。小波分析在工程应用中, 一个十分重要的问题就是最优小波基的选择问题, 因为用不同的小波基分析同一个问题会产生不同的结果。目前主要是通过用小波分析方法处理信号的结果与理论结果的误差来判定小波基的好坏, 由此决定小波基。常用5种小波基有Haar小波、Daubechies(dbN)小波、Mexican Hat(mexh)小波、Morlet小波、Meyer小波。 Daubechies小波是法国学者Inrid Daubechies构造的小波函数, 简写为dbN, N是小波的阶数。Daubechies小波常用来分解和重构信号, 作为滤波器使用, 这里选用Daubechies4(db4)。
橫城煤田、韦州煤田为局部重力高, 这是因为橫城煤田、韦州煤田是石炭— 二叠系地层, 由于上古生界地层密度高于中新生界地层, 他们在三阶小波细节上表现为局部重力高; 而石沟驿、鸳鸯湖、马家滩等煤田是侏罗系地层, 在鸳鸯湖— 马家滩背斜为局部重力高, 石沟驿向斜为局部重力低(图6)。
通过以上分析, 重力异常的小波三阶细节主要反映上古生界顶界面起伏的大致趋势, 其中橫城煤田、鸳鸯湖煤田、马家滩, 韦州煤田是近南北向的上古生界顶界面的隆起, 而局部重力低则反映上古生界顶界面凹陷, 其上沉积有中生界中侏罗组含煤地层。
橫城煤田重力异常小波二阶细节, 局部重力高进一步分解为高低相间的重力高与重力低异常; 韦州煤田的二阶细节, 局部重力高也进一步分解高— 低— 高局部重力异常, 且与已知的橫城煤矿、韦州煤矿有一定的对应关系, 说明橫城煤田、韦州煤田赋存在二阶细节的局部重力低上。而鸳鸯湖煤田赋存在局部重力低, 马家滩煤田赋存在局部重力高, 石沟驿煤田赋存在局部重力低上。
重力异常的小波二阶细节(图7)主要反映石炭— 二叠系地层(上古生界)顶界面的起伏, 在石炭— 二叠系煤田的橫城煤田、韦州煤田, 二阶细节上为局部重力低。而侏罗系煤田, 如鸳鸯湖煤田、马家滩煤田、石沟驿煤田不仅反映上古生界顶界面的起伏, 也反映中生界地层厚度的影响。
橫城煤田、韦州煤田对应一阶细节上的局部重力低, 鸳鸯湖煤田位于局部重力低、马家滩煤田位于局部重力低高相间, 石沟驿煤田位于局部重力低上。
可以推测, 灵武煤田、积家沟煤田、萌城煤田也是侏罗系延安组煤田。
重力异常的小波一阶细节(图8)较细致刻画出煤田的边界位置, 同时说明煤田主要分布在重力异常小波一阶细节的重力低及斜坡带上, 即凹陷与斜坡部位。
通过以上对重力异常进行小波分析, 较详细地获得已知煤田与重力异常小波各阶细节的关系, 该方法比传统的滑动平均、趋势分析等分离区域场与局部场的方法效果好。上述分析结果中, 重力小波分解的各阶细节与已知煤矿区范围不完全对应的原因为:①1∶ 20万区域重力资料测网稀, 线距约 2~4 km, 点距1~2 km, 不能准确控制异常形态; ②图2所表示的煤矿区范围也是示意的, 与地质上实际的煤田范围不完全一致。
根据重力异常的小波分析结果预测远景区:
1) 橫城煤田、韦州煤田一阶、二阶细节的局部重力低是进一步寻找石炭— 二叠纪煤田的远景区。
2) 石沟驿煤田二阶细节重力低南延, 近南北向的局部重力低条带, 为侏罗纪煤田远景区; 马家滩煤田二阶细节重力高的南延, 近南北向的局部重力低条带, 为侏罗纪煤田远景区。
1) 重力异常小波分析能够较好解释已知煤田分布范围, 该方法比传统的滑动平均、趋势分析等分离区域场与局部场的方法效果好。
2) 利用小波分析方法可以分别提取上古生界地层的局部重力高异常与上古生界地层凹陷(煤富集区)产生的次一级局部重力低异常, 如石炭— 二叠纪煤田(橫城煤田、韦州煤田)。
3) 利用小波分析方法可以提取中生界地层的局部重力异常, 他们的次一级异常则反映中生界地层的局部隆起与凹陷, 如侏罗纪煤田(石沟驿、灵武、鸳鸯湖、马家滩、积家井、萌城煤田)。
4) 1∶ 20万区域重力资料测网稀, 不能准确控制异常形态, 造成重力小波分解的各阶细节与已知煤矿区范围不完全对应。
The authors have declared that no competing interests exist.
| [1] |
|
| [2] |
|
| [3] |
|
| [4] |
|
| [5] |
|
| [6] |
|
| [7] |
|
| [8] |
|
| [9] |
|
| [10] |
|
| [11] |
|
| [12] |
|
| [13] |
|
| [14] |
|
| [15] |
|
| [16] |
|
| [17] |
|
| [18] |
|
| [19] |
|
| [20] |
|
