作者简介: 张杰(1977-),男,高级工程师,主要从事瞬变电磁法研究工作。E-mail:zhangjie@igge.cn
以往地—井瞬变电磁法资料解释研究主要为定性解释。本文在瞬变电磁等效涡流的理论基础上,通过研究等效场矢量的空间特征,发现感应二次场矢量的方向与一次场强度、观测点距离及观测时间均无关,只与观测点的方位有关,经简单的修正,二次场特征矢量就可以交会于异常中心位置。研究的地—井瞬变电磁矢量交会法是一种新的定量解释方法,该方法通过绘制每个测点的特征矢量,根据异常区矢量交会于一点的规律,确定异常中心位置。分别采用理论模型和实测资料对该方法进行了验证,结果表明矢量交会法能够对井旁盲矿中心位置进行较准确地定位。
Interpretation methods for borehole TEM data are mainly for qualitative interpretation, and their development has been very slow in spite of the fact that the borehole TEM method is an effective method to explore deep orebodies. This paper presents a new quantitative interpretation method based on the equivalent vortex hypothesis. According to the relevant theory, the vectors of anomaly area can intersect at a point, and the anomaly center can be calculated by using the characteristic vector of each station. The method was tested by the interpretation of the model and field data, and the results show that the vector intersection method can be used to correctly locate the center of the blind orebody beside the borehole.
地— 井瞬变电磁法能够探测井旁、井底盲矿, 追踪井中已见矿体的走向, 为钻探工程提供矿体信息, 是一种探测深部隐伏矿体的有效方法。世界上已有很多利用地— 井TEM勘查发现深部矿体的典型案例, 如加拿大萨德伯里(Sudbury)铜镍矿。20世纪90年代初, 三分量的地— 井TEM数据采集系统就已商品化, 目前, 最大下井深度可达3 000 m, 仪器设备无论在观测精度还是在系统稳定性方面均已比较成熟、完善。该方法是将发射回线布置在井孔上方或附近地表, 用接收探头在钻孔中逐点测量井轴(A)、井径(U、V)三个分量的感应二次场, 在加拿大、澳大利亚等国得到广泛研究和应用
在地— 井瞬变电磁解释研究方面, Woods, D. V.[11]采用Crone PEM系统进行了比例模型实验, 从中总结出了一套板体模型的特征曲线。澳大利亚CSIRO通过物理模型试验, 为了解导电覆盖对地— 井瞬变电磁响应的影响提供了实验资料。Eaton, P.A.和Hohmann, G.W.[12], West, R.C.和Ward, S.H.[13]通过正演计算展示了导电围岩影响的特征。Macnae, J.和Staltari, G.[14]较详细地阐述了导电背景中的地— 井瞬变电磁响应符号变化现象和特征。Dyck, A.V.和West, G.F.[15]在物理和数值模拟结果的基础上, 对利用地— 井瞬变电磁三分量测量解决目标体位置、产状和埋深等问题的可能性进行了探讨, 指出同时在井中观测三个正交分量将有助于解决解释中的多解性问题。Talor和Woods在55届SEG年会上提出了地— 井瞬变电磁数据的等效电流环非线性最小二乘回归反演方法。Fullagar[16]也提出了类似的灯丝电流反演方法。
在瞬变电磁法基础理论方面, Nabighian, M.N.[17, 18]提出的“ 烟圈” 理论指出, 导电半空间中阶跃波激发的涡流, 可以用一系列“ 烟圈” 形态的电流线来描述。Eadie, T.和Staltari, G.[14] 、Dyck, A.V.和West, G.F.[15]描述了导体内感应涡流的建立与消失过程, 导体内的电流分布可以用等效电流环表示。上述研究成果表明, 以简化的“ 等效电流环” 等效导体内的感应涡流是合理、可行的。笔者以矩形等效电流环为基础, 分析了水平与垂直分量的特征; 研究出了地— 井瞬变电磁矢量交会法, 并讨论了对感应电动势资料的适用性; 最后, 通过理论模型和实测资料验证了地— 井瞬变电磁矢量交会法的有效性。
以矩形电流环场等效导体内的感应二次场, 设边长分别为2a、2b的矩形电流环中心位于O(0, 0, 0)处, 在其中通以电流I, 则在空间任意一点P(x, y, z)处产生的磁场可由毕奥— 萨法尔定律导出, 如图1所示。矩形电流环在空间中任意点P产生的磁场可由4根有限长带电导线在P点所产生磁场的叠加得到:

式中a、b为电流环半边长, x、y、z是测点坐标。
设边长为30 m× 30 m的等效电流环, 主剖面(y=0 的平面)上的磁场分布如图2所示, 在不同位置设置取样钻孔, 绘制剖面曲线(Z分量向上为正, X分量向右为正)。由于主剖面上Y分量响应幅值为零, 且X与Y分量特征具有相似性, 所以只需讨论X与Z分量。
A、B两孔位于电流环内, 距离电流环中心 10 m, X分量曲线如图3a所示, 在电流环两侧X分量幅值的符号明显相反, 以A孔为例, 在电流环上部, X分量为正, 幅值先由弱变强, 逐渐达到一极大值后又逐渐变弱, 并在电流环位置(z=0)处出现“ 过零点” ; 在下部, X分量变为负值, 幅值先向负方向增强, 逐渐达到一极小值后, 又逐渐回归至零轴附近, 整体上看, 曲线显示为反“ S” 型。B孔与A孔的位置关于电流环中心对称, 曲线形态完全相反, 为典型的“ S” 型。两孔的Z分量曲线(图3b)完全一致, 幅值均为正值, 曲线为单峰形态, 且极大值点对应于电流环的位置。
C、D、E、F四个钻孔都位于电流环外部, 在x轴上的坐标位置分别为-50 m、-80 m、-110 m和-140 m, 曲线如图4所示, 在不同位置的钻孔中, X及Z分量曲线的形态均相似, 只是幅值的强弱不同, X分量曲线显示为“ S” 型, 如图4a, Z分量曲线显示为单峰形态, 如图4b。 由图4b可见, Z分量极值点位置与电流环一致, 曲线都有“ 过零点” , 且各钻孔的曲线 “ 过零点” 均位于同一直线上, 即与水平夹角约为θ =37.72° 的直线上(图中绿线)。在实际工作中, θ 角有助于异常定量解释, 以D孔为例, 曲线的“ 过零点” M与极值点N之间的距离|MN|是容易得到的, 钻孔与导体中心的距离|NO|是需要解释推断的重要参数, 由图4可见, |MN|/|NO|=tgθ ≈ 0.8, 为一常数, 所以|NO|≈ 1.25|MN|, 由于O点位于导体内部, 则|NO|略大于钻孔与导体边缘之间的距离r, 因此, 可以近似地推断r≈ |MN|, 即钻孔与导体之间的距离约为Z分量异常宽度的一半。
上述分析及以往的研究文献表明, Z分量曲线特征能够反映出钻孔与导体之间的距离信息, 水平分量曲线特征能够反映出导体位置、走向等信息。则通过对地— 井瞬变电磁三分量响应的深入、综合研究, 就能够获得矿体位置、走向、规模等重要参数的定量化信息。
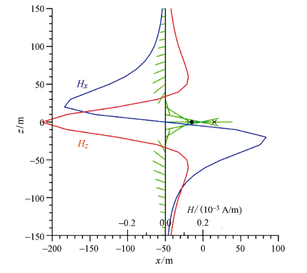
以30 m× 30 m等效电流环为例, 取x=-80 m处的钻孔, 绘制剖面曲线, 如图5所示。依据图5显示的剖面曲线, 采用以往的定性解释方法是:根据Z分量剖面曲线为单峰负异常特征, 可以推断异常体位于井旁; 根据X分量剖面曲线为‘ S’ 型特征, 可以推断异常体位于钻孔右侧。定性解释只能推断异常体的大致方位, 无法确定异常体具体方位及其与钻孔距离等定量信息。而通过矢量交会法处理, 就可以获得异常中心具体方位及其与钻孔的准确距离。
根据场的矢量特征, 先将X和Z分量进行矢量合成, 然后旋转90° , 绘制各点的特征矢量, 如图5中的绿线所示, 各特征矢量在异常中心附近显示有明显的交会点, 交会点的深度及方位都与等效电流环一致, 但并不位于等效电流环上。为了使交会点能够落在电流环中心附近, 可以进行适当的修正。
以偶极子场为例。为了使特征矢量指向偶极中心, 对垂直分量进行修正, 修正系数设为a, 则指向偶极中心的特征矢量的水平分量Hx与垂直分量Hz的比值为:Hx/Hz=tgθ , θ 为矢径与x轴的夹角。因为每给定一个θ 值, Hx/Hz都是个常数, 所以, 通过理论计算可以得到一系列与θ i值对应的修正系数ai, 计算结果见表1。
| 表1 θ i值对应的修正系数ai |
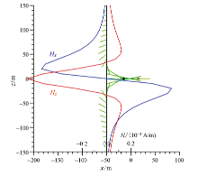
从以上计算结果看, 在θ 角值不大的范围内, 修正系数均处于3~4之间的较小范围之内, 而在实际工作中, 我们只需关心θ 角不大范围内的主异常部分。因此, 依据上述的理论计算, 通过反复多次试算, 将修正系数设为3.4时, 主异常部分的特征矢量电均能交会于异常中心附近, 如图6所示。
对x=-50 m和x=-180 m处钻孔进行相同的修正处理, 结果如图7、8所示, 由图可见, 交会点均位于电流环中心附近。
前文的研究是以自由空间为前提条件, 未考虑围岩的影响, 而地— 井瞬变电磁法实际观测的是围岩与导体的综合响应, 所以用矢量交会法处理实测资料时, 必须考虑并剔除围岩的影响, 提取出纯异常场。
不考虑围岩与导体之间的偶合作用, 即综合响应近似为背景场与纯异常场的简单相加。首先根据曲线特征, 将实测曲线由浅到深分为三个区段, 即背景区— 异常区— 背景区。背景区的响应可近似为围岩产生的背景场值, 根据地— 井瞬变电磁法背景场连续、渐变的特征, 利用已知背景区的深度和背景场值建立插值函数, 通过曲线插值求出异常区的背景场值, 将实测综合响应值减去背景场值, 就近似地获取了导体产生的纯异常场。
2.3.1 理论地电模型1
装置、模型参数为:回线边长210 m× 210 m、钻孔位于回线中心、孔深300 m、电流强度1 A, 围岩电阻率200 Ω · m、立方形导体90 m× 90 m× 20 m、电阻率1 Ω · m、导体中心坐标(0, 50, 150)(以钻孔为坐标原点), 装置及模型的平面投影如图9。
图10为模型1数值模拟的地— 井瞬变电磁三分量响应曲线, 该响应中既有导体又有围岩还有两者互感产生的二次场, 而地— 井瞬变电磁矢量交会法需要采用导体产生的纯异常场, 所以首先要进行异常场提取。忽略围岩与导体之间的互感, 将实测响应近似为纯异常场与背景场的简单叠加, 从响应曲线图上, 可从浅到深将钻孔分为背景— 异常— 背景三个区段, 因为在同一条地— 井瞬变电磁曲线上, 围岩产生的背景场是连续、渐变的, 将上下两个背景区的响应值近似地作为背景场, 采用曲线拟合的方法求取异常区的背景场, 从实测响应中减去背景场就提取出了纯异常场, 再用纯异常场进行矢量交会。
图11是采样延时t=1.1812 ms时的地— 井瞬变电磁矢量交会结果, 由图可见, 矢量交会点距离钻孔约47 m、深度约150 m、方位约为90° , 交会点与导体中心位置吻合。
2.3.2 理论地电模型2
装置、模型参数为:回线边长200 m、钻孔位于回线中心、孔深300 m、电流强度1 A, 均匀半空间中嵌入水平薄板, 大小为80 m× 80 m、埋深155 m、板体中心坐标(-50, -50, 155), 装置及模型的平面投影如图12。
对模型2模拟数据进行曲线显示→ 分析→ 异常提取等处理, 然后用纯异常场进行矢量交会, 图13为采样延时t=1.368 ms 时的矢量交会结果图, 由图可见, 矢量交会点距离钻孔约72 m、深度约155 m, 方位约为225° , 交会点与导电板体中心位置吻合。
2.3.3 实测资料应用
ZK1108孔位于新疆小热泉子铜矿区, 孔深140 m, 未见矿体, 采用Crone公司PEM系统进行地— 井瞬变电磁三分量测量, 发射系统功率2.4 kW, 采用的装置参数为:发射回线边长100 m× 100 m、发射电流强度10 A、时基(timebase)10 ms、下降沿(Ramp)500 μ s、最大采样延时6.22 ms、采样道26个, 在不同方位布置了发射回线进行了多次测量, 图14是钻孔位于回线中心时观测到的三分量响应曲线。
由图14可见, 三个分量曲线均有明显的异常反映, 通过曲线特征分析可以定性推断:Z分量曲线为单峰负异常, 为井旁盲矿异常; X、Y分量曲线均为“ S” 型, 表明异常中心位于X、Y分量的正方向, 但无法确定距离、方位等参数的具体量化信息。采用矢量交会法对ZK1108孔实测资料进行处理解释。
先进行异常场提取, 再用纯异常场进行矢量交会。图15是采样延时t=0.936 ms时的矢量交会结果, 由图可见, 交会点距离钻孔约15 m、深度约 36 m、方位约为53° 。ZK1108测量完成后就进行了坑道验证, 在推断的异常位置发现了富铜矿体, 开采后显示该矿体呈大漏斗形, 矿体中心距地面约 38 m, 距钻孔约17 m, 矿体最宽处约18 m, 最厚约15m, 矿体的断面及水平投影如图16所示。由图15、16可见, 地— 井瞬变电磁矢量交会法推断的矿体位置, 与实际矿体中心位置基本吻合。
以瞬变电磁等效电流环理论为基础, 研究实现了地— 井瞬变电磁矢量交会法, 通过理论模型和实测资料的处理结果可以看出, 该方法是一种推断井旁盲矿异常中心位置的有效手段, 对井旁盲矿探测具有实际意义。
地— 井瞬变电磁法是一种复杂的方法, 论文阐述的矢量交会法具有一定的针对性, 在实际应用过程中应注意以下几个特点:
(1) 地— 井瞬变电磁矢量交会法主要应用于井旁盲矿异常解释, 处理实测资料时应考虑围岩的影响, 提取出纯异常场进行矢量交会才能较准确地确定异常中心位置。
(2) 矢量交会法是通过研究矢量方向特征, 达到确定异常位置的目标, 资料处理时需要具备三个分量的数据, 对观测的感应磁场和感应电动势参数均适用。
(3) 在等效电流环处于较水平的状态下, 采用近似的修正系数3.4, 特征矢量就能交会于异常中心, 当等效电流环处于较倾斜的状态时, 应调整修正系数或采用变系数进行矢量修正。
The authors have declared that no competing interests exist.
| [1] |
|
| [2] |
|
| [3] |
|
| [4] |
|
| [5] |
|
| [6] |
|
| [7] |
|
| [8] |
|
| [9] |
|
| [10] |
|
| [11] |
|
| [12] |
|
| [13] |
|
| [14] |
|
| [15] |
|
| [16] |
|
| [17] |
|
| [18] |
|

